Siste oppdatering :
27/11/2025
Fungicid   Amphotericin B  
Aerosol
Injeksjon Mikstur Munnvann Øyedråper
Stabilitet av farmasøytiske preparater Stabilitet i blandinger Faktorer som påvirker stabiliteten Kompatibilitet Referanser pdf
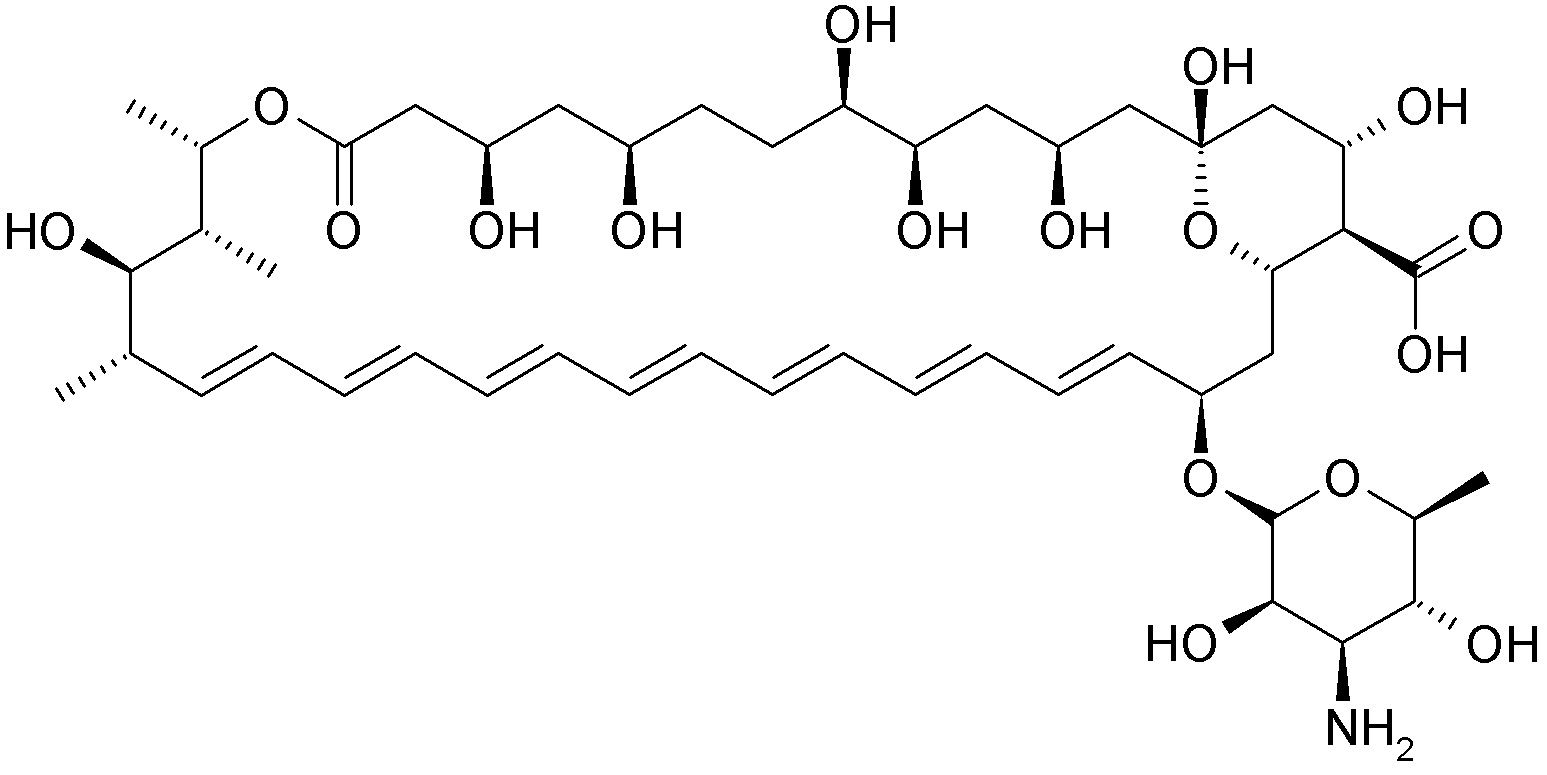
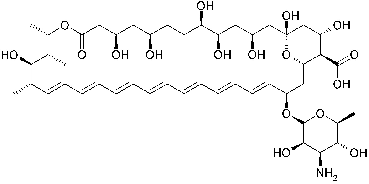
   Kjemisk struktur  

Aerosol
Stabilitet av farmasøytiske preparater   Aerosol   Stabilitet av farmasøytiske preparater : Amphotericin B     
Beholder Origine Hjelpestoff Temperatur Oppbevaring Varighet av stabilitet Referanser
Glass Hetteglass 50 mg
Fungizona® (Squibb Industria Farmaceutica)
Vann til injeksjon >> 50 ml
20-25°C Med eller uten lys
30 Dag
3069

Glass Hetteglass 50 mg
Fungizona® (Squibb Industria Farmaceutica)
Vann til injeksjon >> 50 ml
4-8°C Beskyttes mot lys
30 Dag
3069


  Mentions Légales