Ostatnia aktualizacja :
05/12/2025
Antybiotyk   Gentamicin sulfate  
Krople oczne
Injekcje
Stabilność preparatów farmaceutycznych Trwałość w mieszaninie Czynnik wpływający na trwałość Zgodność Bibliografia pdf
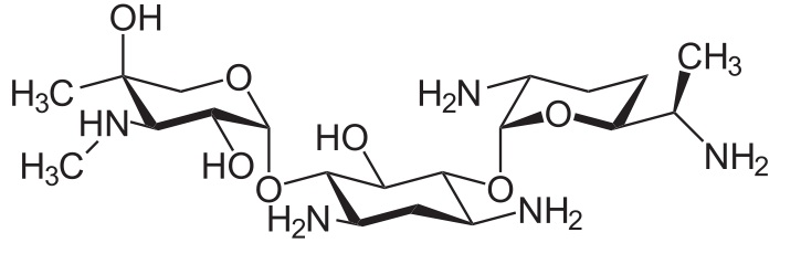
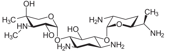
   Struktura chemiczna  

Krople oczne
Stabilność preparatów farmaceutycznych   Krople oczne   Stabilność preparatów farmaceutycznych : Gentamicin sulfate     
Pojemnik Origine Substancja pomocniczna Temperatura Przechowywanie Czas trwania stabilności Bibliografia
Szkło Fiolka 80 mg
®=?
NaCl 0.9% >>10 ml
2-8°C Chronić od światła
42 Dzień
2547

Szkło Fiolka 140 mg
®=?
NaCl 0.9% >>10 ml
2-8°C Chronić od światła
42 Dzień
2547

Szkło Fiolka 80 mg
®=?
NaCl 0.9% >>10 ml
26°C Nie wyszczególniony
7 Dzień
2547

Szkło Fiolka 140 mg
®=?
NaCl 0.9% >>10 ml
26°C Nie wyszczególniony
7 Dzień
2547

Butelka plastikowa Fiolka 5 ml
gentamycine sulfate 40 mg/ml ®=? (Lyphomed)
Genoptic® krople oczne 3 mg/ml 2 ml
4-8°C Chronić od światła
90 Dzień
2487


  Mentions Légales