Τελευταία ενημέρωση :
18/03/2026
Αντιβιοτικό   Gentamicin sulfate  
Οφθαλμικές σταγόνες
Ενέσιμο
Σταθερότητα και συμβατότητα των φαρμάκων Σταθερότητα σε μίγματα Παράγοντας που επηρεάζει τη σταθερότητα Συμβατότητες Βιβλιογραφία pdf
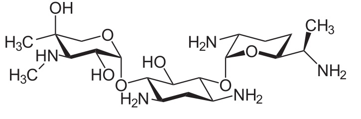
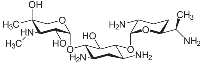
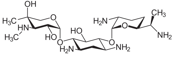
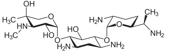
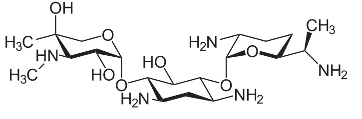
   χημική δομή  

Οφθαλμικές σταγόνες
Σταθερότητα και συμβατότητα των φαρμάκων   Οφθαλμικές σταγόνες   Σταθερότητα και συμβατότητα των φαρμάκων : Gentamicin sulfate     
Υποδοχέας Origine Έκδοχο Θερμοκρασία Αποθήκευση Διάρκεια σταθερότητας Βιβλιογραφία
Ύαλος Φιαλίδιο φαρμάκου για ένεση 80 mg
®=?
NaCl 0.9% >>10 ml
2-8°C Προστατεύετε από το φως
42 Ημέρα
2547

Ύαλος Φιαλίδιο φαρμάκου για ένεση 140 mg
®=?
NaCl 0.9% >>10 ml
2-8°C Προστατεύετε από το φως
42 Ημέρα
2547

Ύαλος Φιαλίδιο φαρμάκου για ένεση 80 mg
®=?
NaCl 0.9% >>10 ml
26°C Απροσδιόριστο
7 Ημέρα
2547

Ύαλος Φιαλίδιο φαρμάκου για ένεση 140 mg
®=?
NaCl 0.9% >>10 ml
26°C Απροσδιόριστο
7 Ημέρα
2547

Πλαστικό μπουκάλι Φιαλίδιο φαρμάκου για ένεση 5 ml
gentamycine sulfate 40 mg/ml ®=? (Lyphomed)
Genoptic® οφθαλμικές σταγόνες 3 mg/ml 2 ml
4-8°C Προστατεύετε από το φως
90 Ημέρα
2487


  Mentions Légales