Letztes “update” :
27/11/2025
Antibiotikum   Gentamicin sulfate  
Augentropfen
Injektion
Stabilität von pharmazeutischen Präparaten Gemengestabilität Stabilitätbeeinflussende Faktoren Kompatibilitäten Literaturverzeichnis pdf
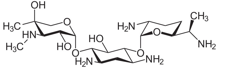
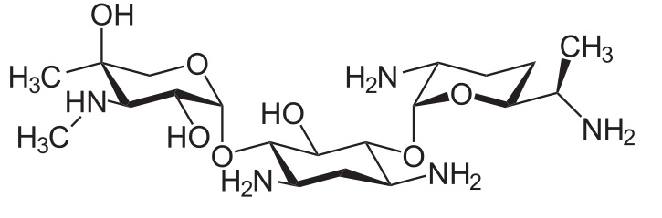
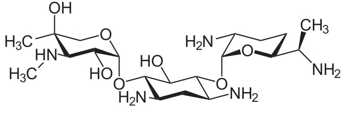
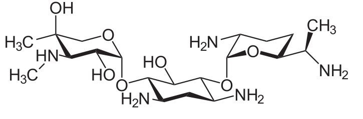
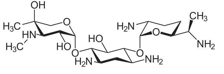
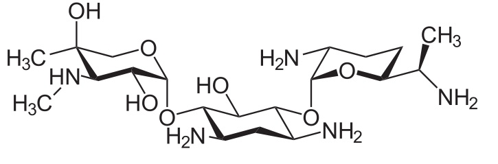
   Chemische Struktur  

Augentropfen
Stabilität von pharmazeutischen Präparaten   Augentropfen   Stabilität von pharmazeutischen Präparaten : Gentamicin sulfate     
Behälter Origine Hilfsstoff Temperatur Konservierung Dauer der Stabilität Literaturverzeichnis
Glas Injektionsflasche 80 mg
®=?
NaCl 0.9% >>10 ml
2-8°C Ohne Licht
42 Tag
2547

Glas Injektionsflasche 140 mg
®=?
NaCl 0.9% >>10 ml
2-8°C Ohne Licht
42 Tag
2547

Glas Injektionsflasche 80 mg
®=?
NaCl 0.9% >>10 ml
26°C Nicht genau angegeben
7 Tag
2547

Glas Injektionsflasche 140 mg
®=?
NaCl 0.9% >>10 ml
26°C Nicht genau angegeben
7 Tag
2547

Plastikflasche Injektionsflasche 5 ml
gentamycine sulfate 40 mg/ml ®=? (Lyphomed)
Genoptic® Augentropfen 3mg/ml 2 ml
4-8°C Ohne Licht
90 Tag
2487


  Mentions Légales