Utolsó frissítés :
27/11/2025
Antibiotikum   Gentamicin sulfate  
Szemcsepp
Injekció
Stabilitása gyógyszerészeti készítmények A keverékek stabilitása Stabilitást befolyásoló tényezők Kompatibilitás Irodalom pdf
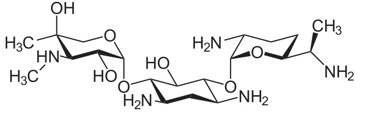
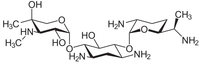
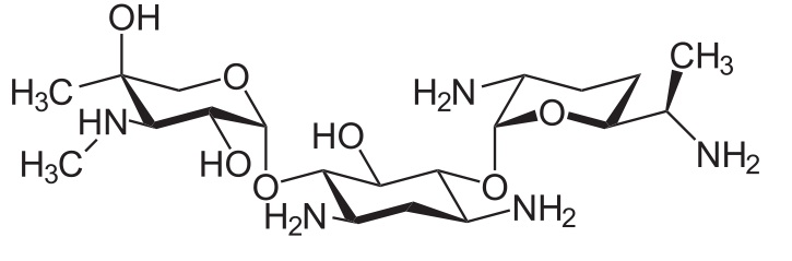
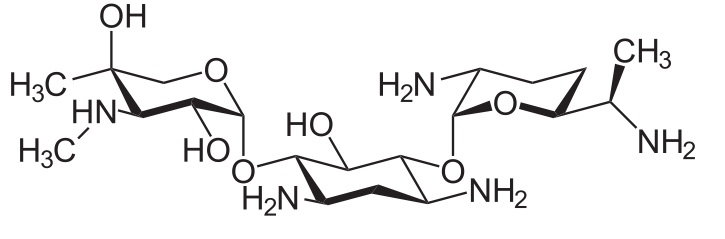
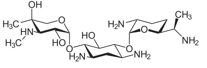
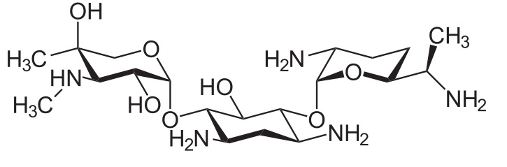
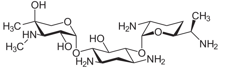
   Kémiai szerkezet   

Szemcsepp
Stabilitása gyógyszerészeti készítmények   Szemcsepp   Stabilitása gyógyszerészeti készítmények : Gentamicin sulfate     
Csomagolás Origine segédanyag Hőmérséklet Tárolás A stabilitás időtartama Irodalom
Üveg Injekcióhoz való űveg 80 mg
®=?
NaCl 0.9% >>10 ml
2-8°C Fénytől védve tartandó
42 Nap
2547

Üveg Injekcióhoz való űveg 140 mg
®=?
NaCl 0.9% >>10 ml
2-8°C Fénytől védve tartandó
42 Nap
2547

Üveg Injekcióhoz való űveg 80 mg
®=?
NaCl 0.9% >>10 ml
26°C Nincs meghatározva
7 Nap
2547

Üveg Injekcióhoz való űveg 140 mg
®=?
NaCl 0.9% >>10 ml
26°C Nincs meghatározva
7 Nap
2547

műanyag flakon Injekcióhoz való űveg 5 ml
gentamycine sulfate 40 mg/ml ®=? (Lyphomed)
Genoptic® eye-drops 3 mg/ml 2 ml
4-8°C Fénytől védve tartandó
90 Nap
2487


  Mentions Légales