Siste oppdatering :
03/02/2026
Antibiotika   Gentamicin sulfate  
Øyedråper
Injeksjon
Stabilitet av farmasøytiske preparater Stabilitet i blandinger Faktorer som påvirker stabiliteten Kompatibilitet Referanser pdf
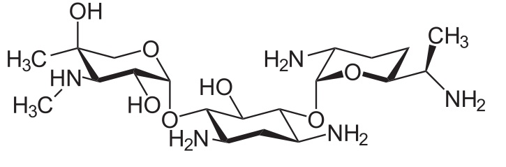
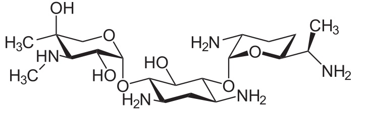
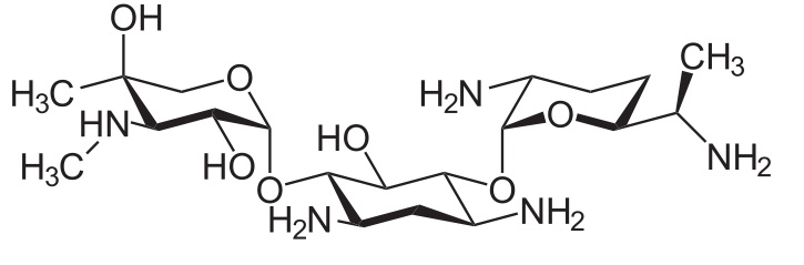
   Kjemisk struktur  

Øyedråper
Stabilitet av farmasøytiske preparater   Øyedråper   Stabilitet av farmasøytiske preparater : Gentamicin sulfate     
Beholder Origine Hjelpestoff Temperatur Oppbevaring Varighet av stabilitet Referanser
Glass Hetteglass 80 mg
®=?
NaCl 0.9% >>10 ml
2-8°C Beskyttes mot lys
42 Dag
2547

Glass Hetteglass 140 mg
®=?
NaCl 0.9% >>10 ml
2-8°C Beskyttes mot lys
42 Dag
2547

Glass Hetteglass 80 mg
®=?
NaCl 0.9% >>10 ml
26°C Ikke angitt
7 Dag
2547

Glass Hetteglass 140 mg
®=?
NaCl 0.9% >>10 ml
26°C Ikke angitt
7 Dag
2547

Plastflaske Hetteglass 5 ml
gentamycine sulfate 40 mg/ml ®=? (Lyphomed)
Genoptic® øyedråper 3 mg/ml® eye-drops 3 mg/ml 2 ml
4-8°C Beskyttes mot lys
90 Dag
2487


  Mentions Légales