Son güncelleme :
18/03/2026
Antibiyotik   Amoxicillin sodium / clavulanic acid  
Oral solüsyon / oral çözelti
Enjeksiyon
Farmasötik preparatlar Kararlılığı Karışımlardaki stabilitesi Stabiliteyi etkileyen faktörler Uyumluluk Kaynaklar pdf
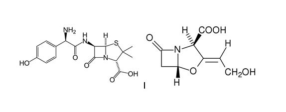
   Kimyasal yapı   

Oral solüsyon / oral çözelti
Farmasötik preparatlar Kararlılığı   Oral solüsyon / oral çözelti   Farmasötik preparatlar Kararlılığı : Amoxicillin sodium / clavulanic acid     
Saklama kabı Origine yardımcı madde Isı Saklama    Stabilite süresi Kaynaklar
Plastik şişe Toz 125/31,25 mg
Augmentin®
Arıtılmış su 134 mL
25°C Belirtilmemiş
7 Gün
2508

Plastik şişe Toz 250/62,5 mg
Augmentin®
Arıtılmış su 130 mL
25°C Belirtilmemiş
7 Gün
2508

Plastik şişe Toz 125/31,25 mg
Augmentin®
Arıtılmış su 134 mL
5°C Belirtilmemiş
10 Gün
2508

Plastik şişe Toz 250/62,5 mg
Augmentin®
Arıtılmış su 130 mL
5°C Belirtilmemiş
10 Gün
2508

Belirtilmemiş Toz 5 g/1.25 g
Augmentin®
Damıtılmış su >> 100 ml
8°C Belirtilmemiş
7 Gün
2951


  Mentions Légales