Última actualización :
05/12/2025
Infostab
Lista de la molécula
Listas recapitulativas
Búsqueda de compatibilidades
Tabla de compatibilidad en Y
Bibliografía
Los equipos de investigación
valistab
póster
Vínculos
patrocinadores
Autores
Manual de instruciones
Boletín de noticias
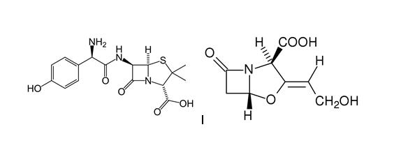
Amoxicillin sodium / clavulanic acid
Estructura química
La estabilidad de las preparaciones farmacéuticas : Amoxicillin sodium / clavulanic acid
125/31,25 mg
Augmentin®
Agua purificada
134 mL
25°C
7
2508
250/62,5 mg
Augmentin®
Agua purificada
130 mL
25°C
7
2508
125/31,25 mg
Augmentin®
Agua purificada
134 mL
5°C
10
2508
250/62,5 mg
Augmentin®
Agua purificada
130 mL
5°C
10
2508
5 g/1.25 g
Augmentin®
Agua destilada
>> 100 ml
8°C
7
2951
Mentions Légales