Zadnji put ažurirano :
18/03/2026
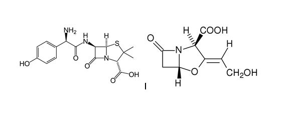
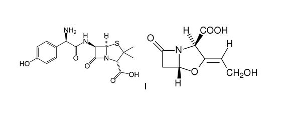
antibiotik   Amoxicillin sodium / clavulanic acid  
oralna otopina
injekcija
Stabilnost farmaceutskih pripravaka Stabilnost mješavine Stabilizacijski faktor Kompatibilnosti Bibliografija pdf
   Kemijska struktura  

oralna otopina
Stabilnost farmaceutskih pripravaka   oralna otopina     Stabilnost farmaceutskih pripravaka : Amoxicillin sodium / clavulanic acid     
Kontejner Origine pomoćna tvar temperatura Konzerviranje Trajanje stabilnosti Bibliografija
plastična boca prašak 125/31,25 mg
Augmentin®
pročišćena voda 134 mL
25°C nespecifičan
7 dan
2508

plastična boca prašak 250/62,5 mg
Augmentin®
pročišćena voda 130 mL
25°C nespecifičan
7 dan
2508

plastična boca prašak 125/31,25 mg
Augmentin®
pročišćena voda 134 mL
5°C nespecifičan
10 dan
2508

plastična boca prašak 250/62,5 mg
Augmentin®
pročišćena voda 130 mL
5°C nespecifičan
10 dan
2508

nespecifičan prašak 5 g/1.25 g
Augmentin®
destilirana voda >> 100 ml
8°C nespecifičan
7 dan
2951


  Mentions Légales