Pēdējā atjaunošana :
18/03/2026
Infostab
Saraksti
Kopsavilkums
Meklēt saderības
Y-savienojuma saderības tabula
Literatūras saraksts
pētniecības grupas
valistab
plakāts
Savienojumi
sponsori
Autori
Lietošanas instrukcija
Newsletter
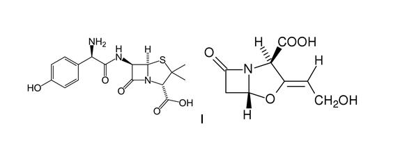
Amoxicillin sodium / clavulanic acid
Ķīmiskā uzbūve
Stabilitāte farmaceitisko preparātu : Amoxicillin sodium / clavulanic acid
125/31,25 mg
Augmentin®
Attīrīts ūdens
134 mL
25°C
7
2508
250/62,5 mg
Augmentin®
Attīrīts ūdens
130 mL
25°C
7
2508
125/31,25 mg
Augmentin®
Attīrīts ūdens
134 mL
5°C
10
2508
250/62,5 mg
Augmentin®
Attīrīts ūdens
130 mL
5°C
10
2508
5 g/1.25 g
Augmentin®
Destilēts ūdens
>> 100 ml
8°C
7
2951
Mentions Légales