最新更新 :
18/03/2026
抗菌薬   Amoxicillin sodium / clavulanic acid  
経口液
注射薬
調剤時の安定性 混合時の安定性 安定性に影響する因子 互換性 引用文献 PDF
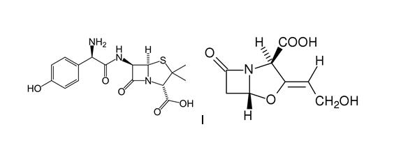
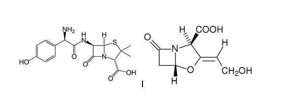
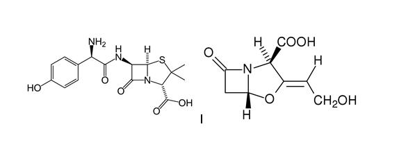
   化学構造  

経口液
調剤時の安定性   経口液   調剤時の安定性 : Amoxicillin sodium / clavulanic acid     
容器 Origine 添加剤 温度 保管 安定期間 引用文献
プラスチックボトル 粉 125/31,25 mg
Augmentin®
精製水 134 mL
25°C 特記なし
7 日
2508

プラスチックボトル 粉 250/62,5 mg
Augmentin®
精製水 130 mL
25°C 特記なし
7 日
2508

プラスチックボトル 粉 125/31,25 mg
Augmentin®
精製水 134 mL
5°C 特記なし
10 日
2508

プラスチックボトル 粉 250/62,5 mg
Augmentin®
精製水 130 mL
5°C 特記なし
10 日
2508

指定なし 粉 5 g/1.25 g
Augmentin®
蒸留水 >> 100 ml
8°C 特記なし
7 日
2951


  Mentions Légales