Viimeisin päivitys :
27/11/2025
Infostab
Luettelo yhdisteistä
Yhteenveto-luettelot
Etsi yhteensopivuutta
Y-sivuston yhteensopivuustaulukko
Viitteet
tutkimus Joukkueet
valistab
ilmoitus
Liitännät
sponsorit
Tekijät
Käyttöohje
Uutiskirje
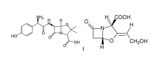
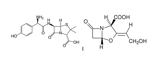
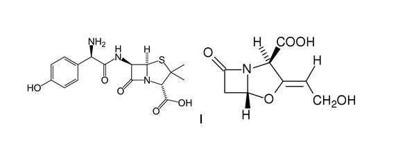
Amoxicillin sodium / clavulanic acid
Kemiallinen rakenne
Vakaus lääkevalmisteen : Amoxicillin sodium / clavulanic acid
125/31,25 mg
Augmentin®
Puhdistettu vesi
134 mL
25°C
7
2508
250/62,5 mg
Augmentin®
Puhdistettu vesi
130 mL
25°C
7
2508
125/31,25 mg
Augmentin®
Puhdistettu vesi
134 mL
5°C
10
2508
250/62,5 mg
Augmentin®
Puhdistettu vesi
130 mL
5°C
10
2508
5 g/1.25 g
Augmentin®
Tislattu vesi
>> 100 ml
8°C
7
2951
Mentions Légales