Letztes “update” :
27/11/2025
Antibiotikum   Amoxicillin sodium / clavulanic acid  
Lösung zum Einnehmen
Injektion
Stabilität von pharmazeutischen Präparaten Gemengestabilität Stabilitätbeeinflussende Faktoren Kompatibilitäten Literaturverzeichnis pdf
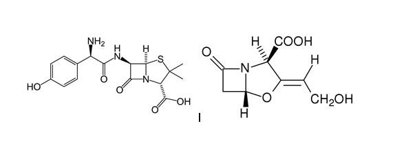
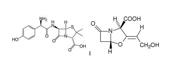
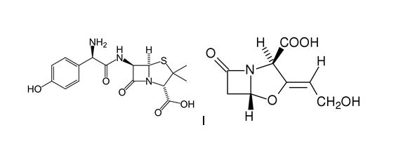
   Chemische Struktur  

Lösung zum Einnehmen
Stabilität von pharmazeutischen Präparaten   Lösung zum Einnehmen   Stabilität von pharmazeutischen Präparaten : Amoxicillin sodium / clavulanic acid     
Behälter Origine Hilfsstoff Temperatur Konservierung Dauer der Stabilität Literaturverzeichnis
Plastikflasche Pulver 125/31,25 mg
Augmentin®
Gereinigtes Wasser 134 mL
25°C Nicht genau angegeben
7 Tag
2508

Plastikflasche Pulver 250/62,5 mg
Augmentin®
Gereinigtes Wasser 130 mL
25°C Nicht genau angegeben
7 Tag
2508

Plastikflasche Pulver 125/31,25 mg
Augmentin®
Gereinigtes Wasser 134 mL
5°C Nicht genau angegeben
10 Tag
2508

Plastikflasche Pulver 250/62,5 mg
Augmentin®
Gereinigtes Wasser 130 mL
5°C Nicht genau angegeben
10 Tag
2508

Nicht genau angegeben Pulver 5 g/1.25 g
Augmentin®
destilliertes Wasser >> 100 ml
8°C Nicht genau angegeben
7 Tag
2951


  Mentions Légales