Utolsó frissítés :
18/03/2026
Antibiotikum   Amoxicillin sodium / clavulanic acid  
belsőleges oldat
Injekció
Stabilitása gyógyszerészeti készítmények A keverékek stabilitása Stabilitást befolyásoló tényezők Kompatibilitás Irodalom pdf
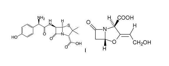
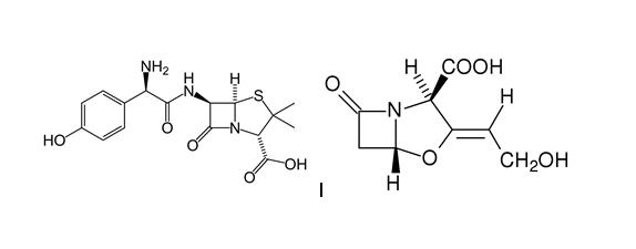
   Kémiai szerkezet   

belsőleges oldat
Stabilitása gyógyszerészeti készítmények   belsőleges oldat   Stabilitása gyógyszerészeti készítmények : Amoxicillin sodium / clavulanic acid     
Csomagolás Origine segédanyag Hőmérséklet Tárolás A stabilitás időtartama Irodalom
műanyag flakon por 125/31,25 mg
Augmentin®
Tisztított víz 134 mL
25°C Nincs meghatározva
7 Nap
2508

műanyag flakon por 250/62,5 mg
Augmentin®
Tisztított víz 130 mL
25°C Nincs meghatározva
7 Nap
2508

műanyag flakon por 125/31,25 mg
Augmentin®
Tisztított víz 134 mL
5°C Nincs meghatározva
10 Nap
2508

műanyag flakon por 250/62,5 mg
Augmentin®
Tisztított víz 130 mL
5°C Nincs meghatározva
10 Nap
2508

Nincs meghatározva por 5 g/1.25 g
Augmentin®
desztillált víz >> 100 ml
8°C Nincs meghatározva
7 Nap
2951


  Mentions Légales