Последнее обновление :
18/03/2026
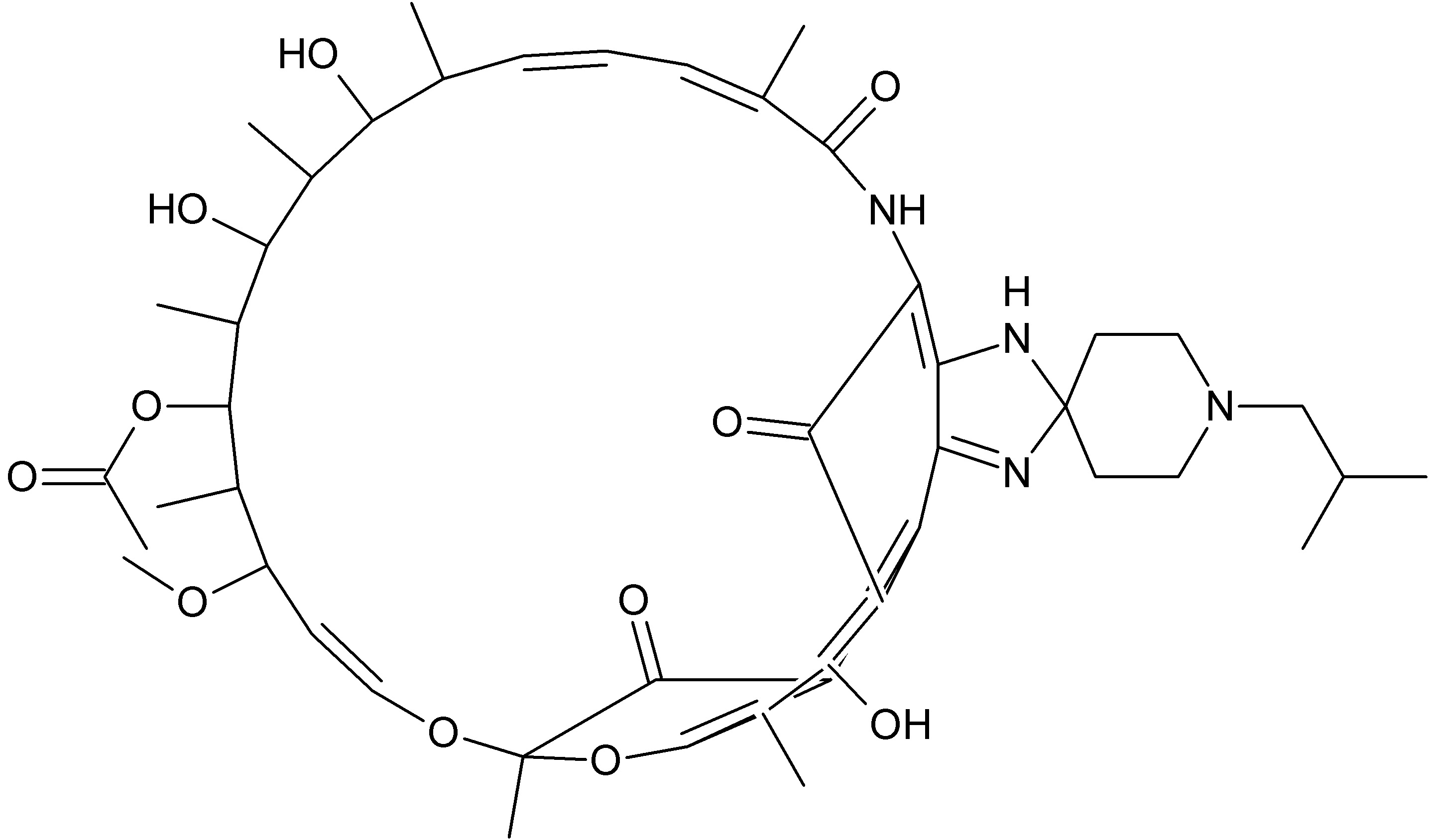
Антибиотик   Rifabutin  
Раствор для перорального приёма
Стабильность фармацевтических препаратов Стабильность смесей Факторы, которые влияют на стабильность Совместимость Библиография pdf
   Химическая структура  

Раствор для перорального приёма
Совместимость   Раствор для перорального приёма   Совместимость : Rifabutin              
данных нет

  Mentions Légales