Ultimo aggiornamento :
18/03/2026
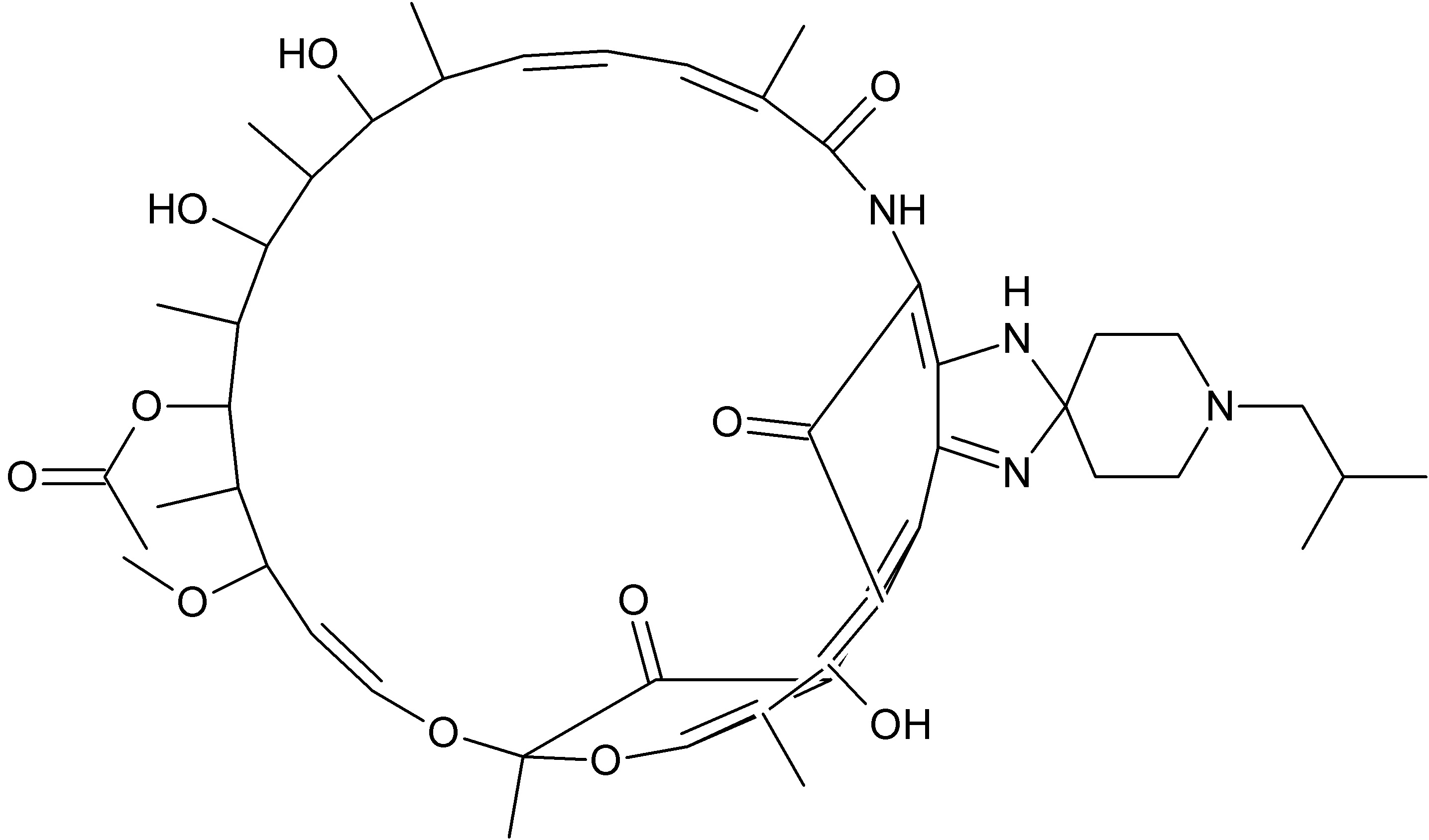
Antibiotico   Rifabutin  
Soluzione orale
Stabilità dei preparati farmaceutici Stabilità in miscela Fattori che influenzano la stabilità Compatibilità Bibliografia pdf
   Struttura chimica  

Soluzione orale
Compatibilità   Soluzione orale   Compatibilità : Rifabutin              
Assenza di dati

  Mentions Légales