Zadnji put ažurirano :
18/03/2026
antibiotik   Rifabutin  
oralna otopina
Stabilnost farmaceutskih pripravaka Stabilnost mješavine Stabilizacijski faktor Kompatibilnosti Bibliografija pdf
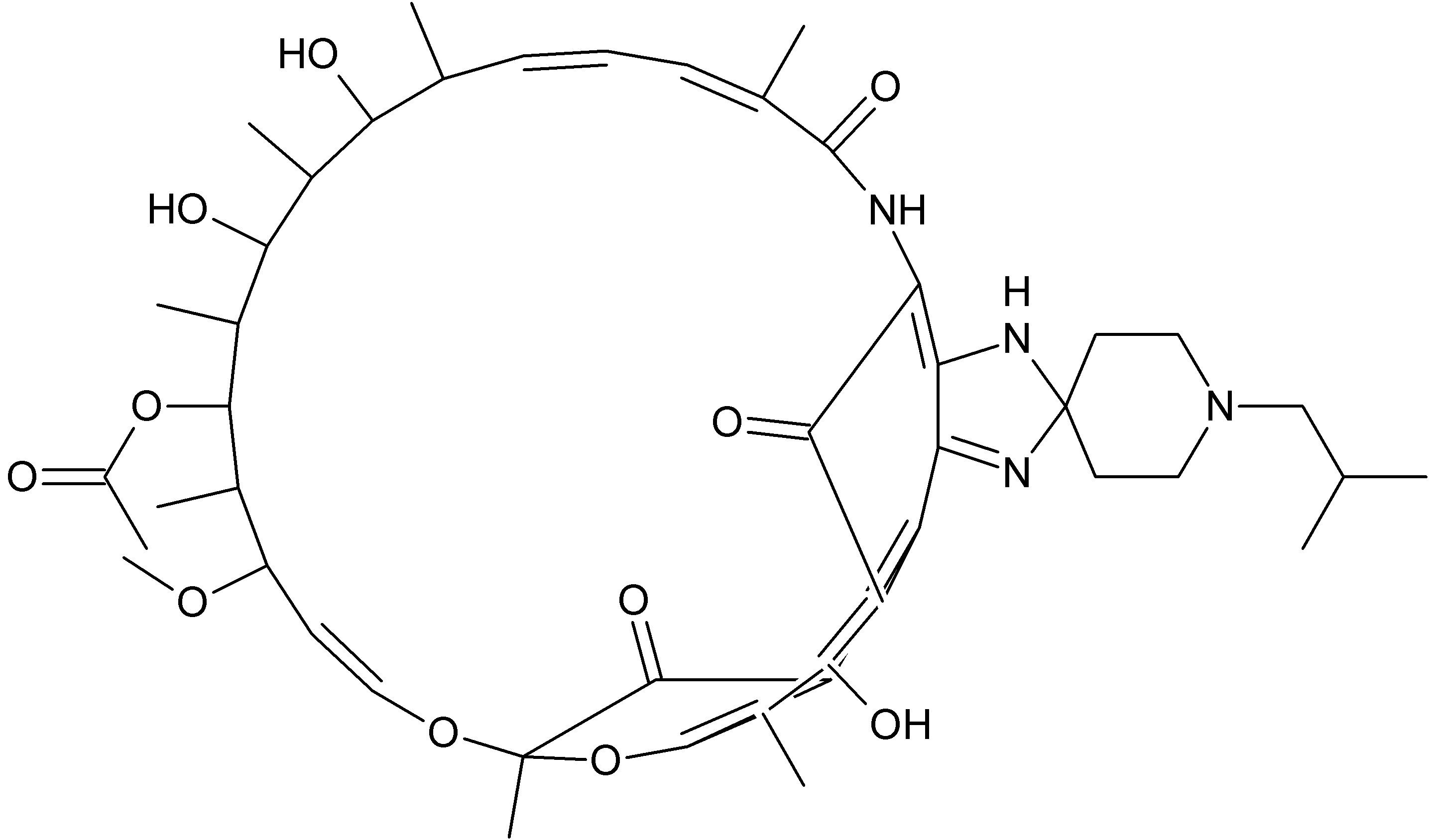
   Kemijska struktura  

oralna otopina
Kompatibilnosti   oralna otopina     Kompatibilnosti : Rifabutin              
bez podataka

  Mentions Légales