viimane versioon :
18/03/2026
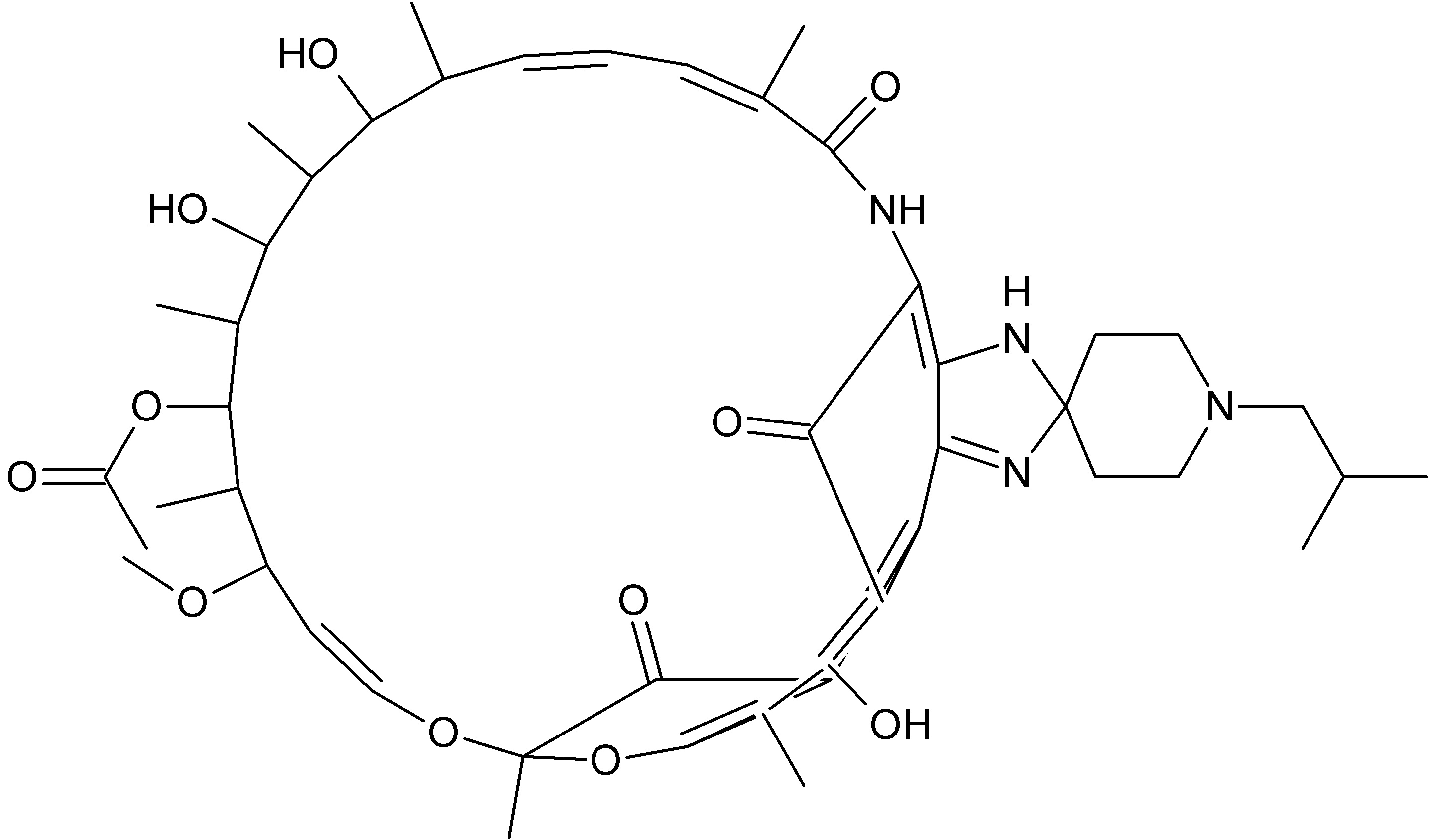
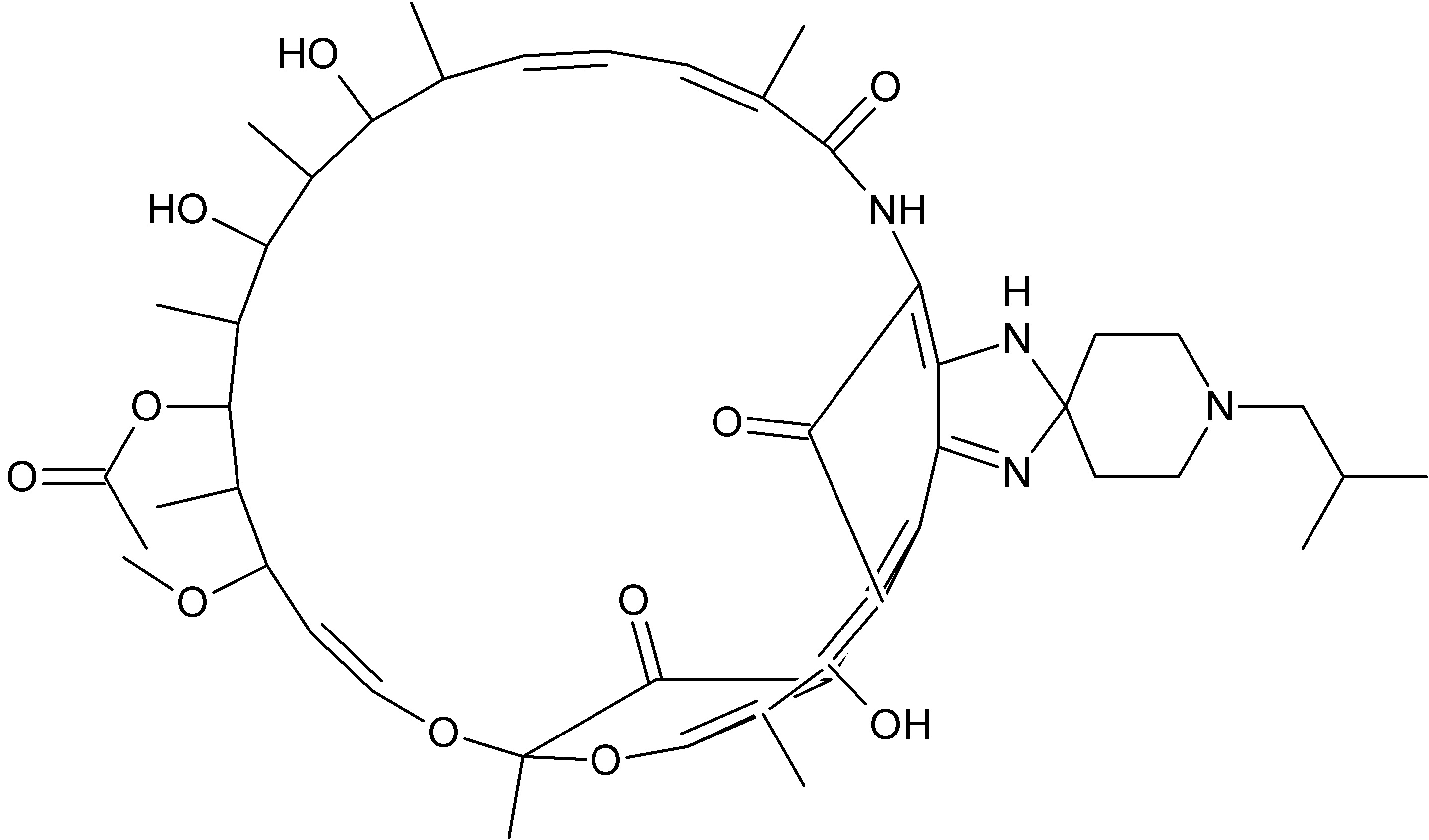
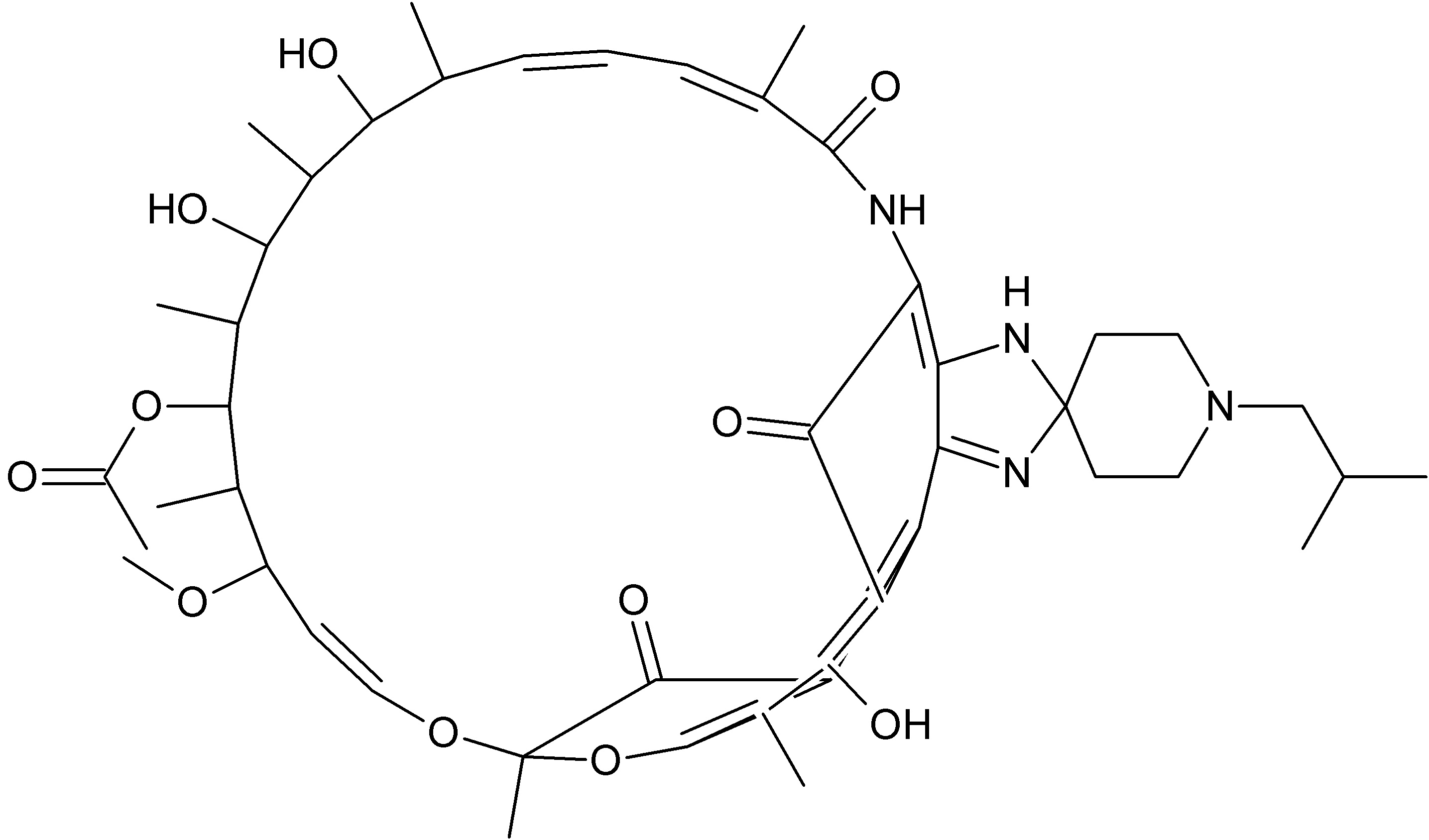
antibiootikum   Rifabutin  
suukaudne lahus
Stabiilsust ravimpreparaadid Stabiilsust mõjutavad tegurid stabiilsust mõjutavad faktorid Sobimatus Viited pdf
   keemiline struktuur  

suukaudne lahus
Sobimatus   suukaudne lahus   Sobimatus : Rifabutin              
andmed puuduvad

  Mentions Légales