Siste oppdatering :
18/03/2026
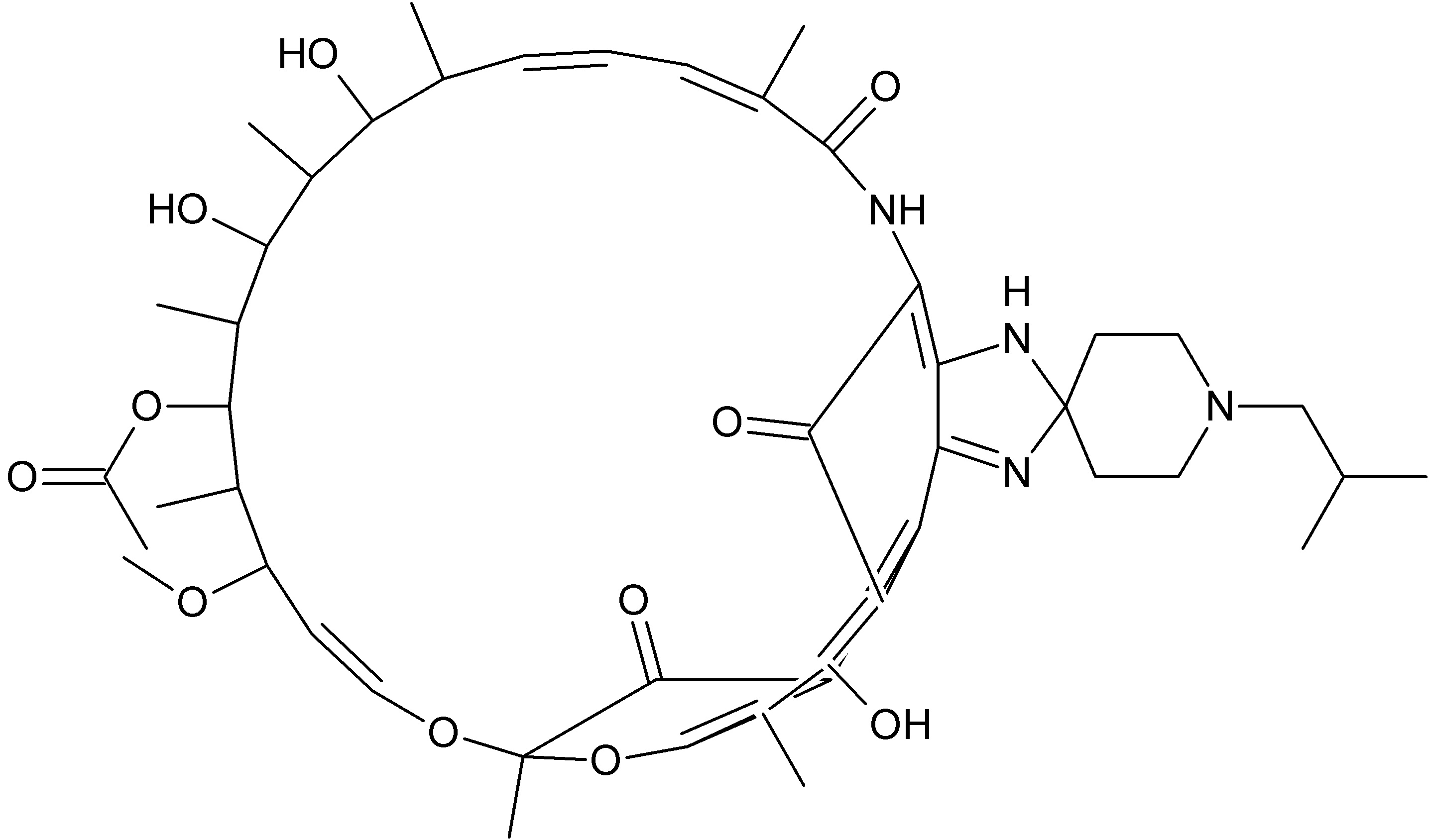
Antibiotika   Rifabutin  
Mikstur
Stabilitet av farmasøytiske preparater Stabilitet i blandinger Faktorer som påvirker stabiliteten Kompatibilitet Referanser pdf
   Kjemisk struktur  

Mikstur
Kompatibilitet   Mikstur   Kompatibilitet : Rifabutin              
Ingen opplysninger

  Mentions Légales