Последно актуализиране :
18/03/2026
Антибиотик   Rifabutin  
Орален разтвор
Стабилност на лекарствени препарати Стабилност на смеси Фактори, повлияващи стабилността Съвместимост Библиография Pdf
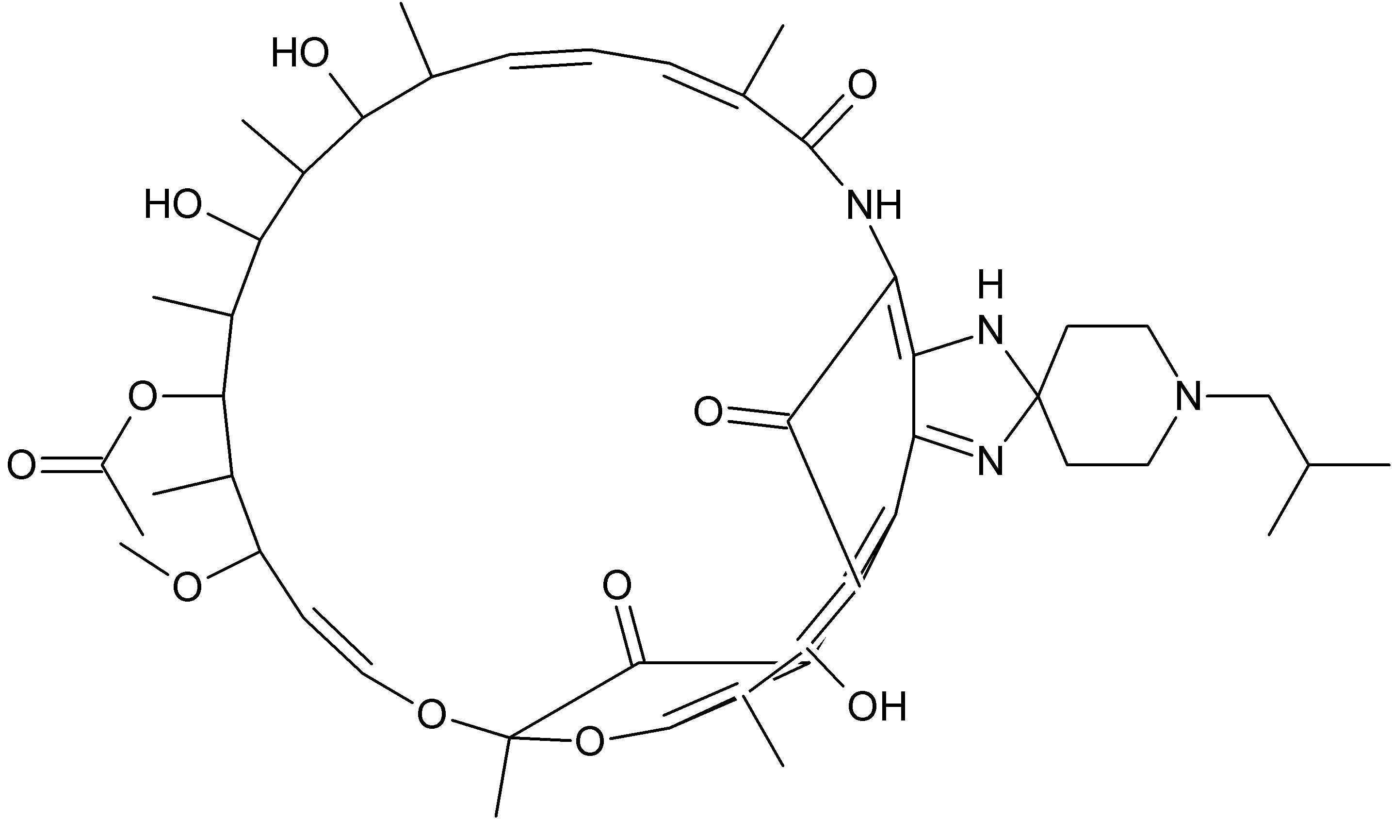
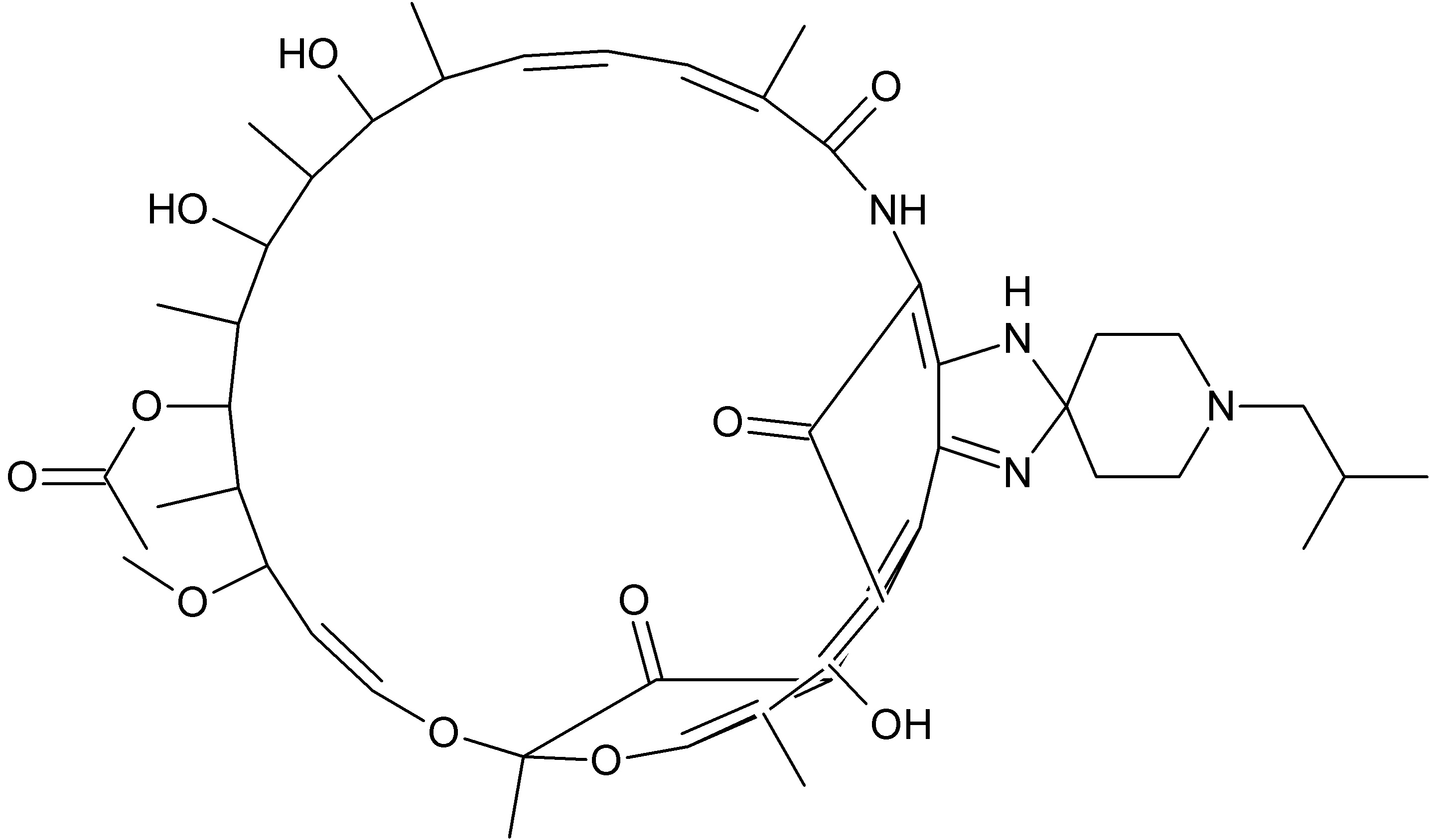
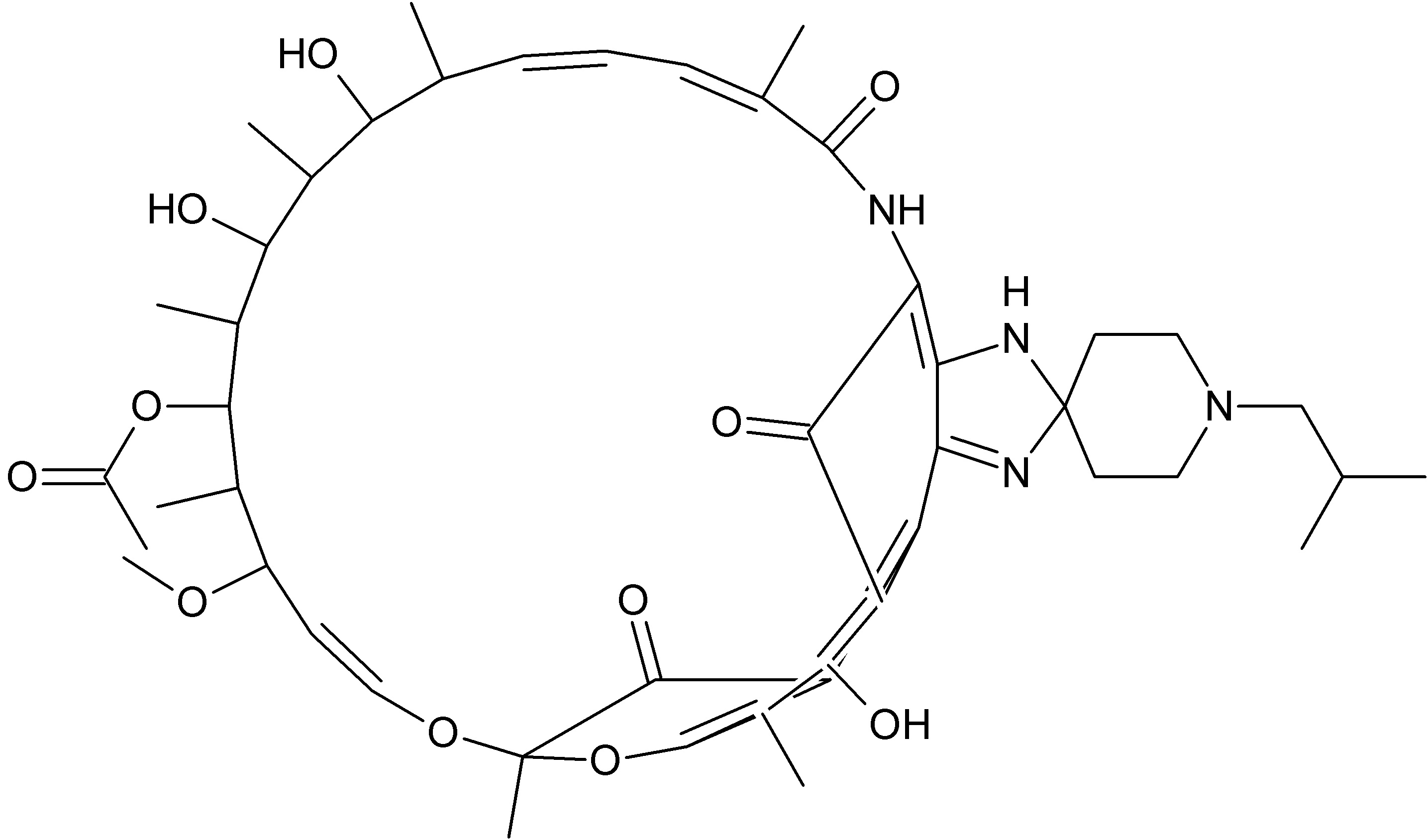
   Химична структура  

Орален разтвор
Съвместимост   Орален разтвор   Съвместимост : Rifabutin              
Няма данни

  Mentions Légales