آخر تحديث :
18/03/2026
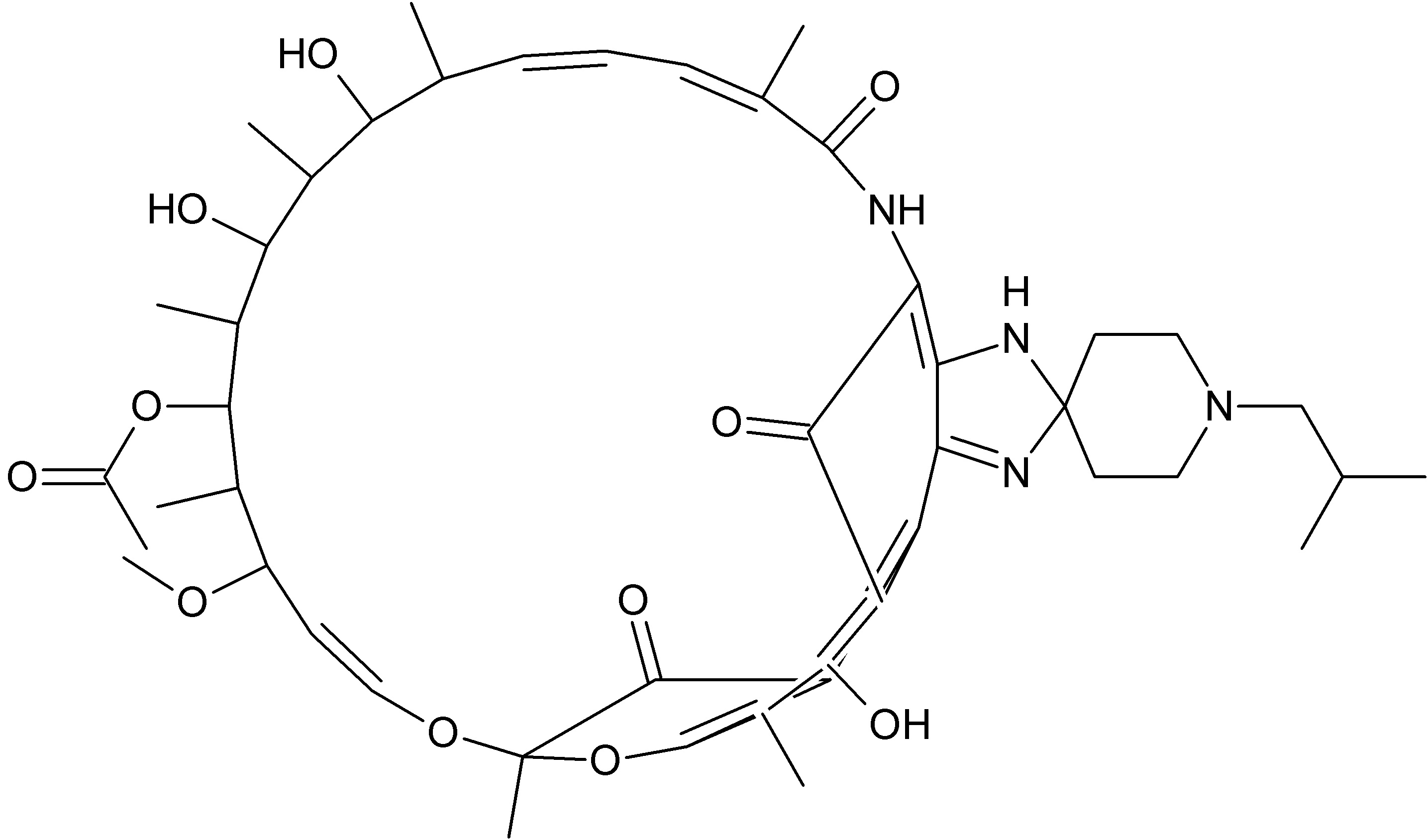
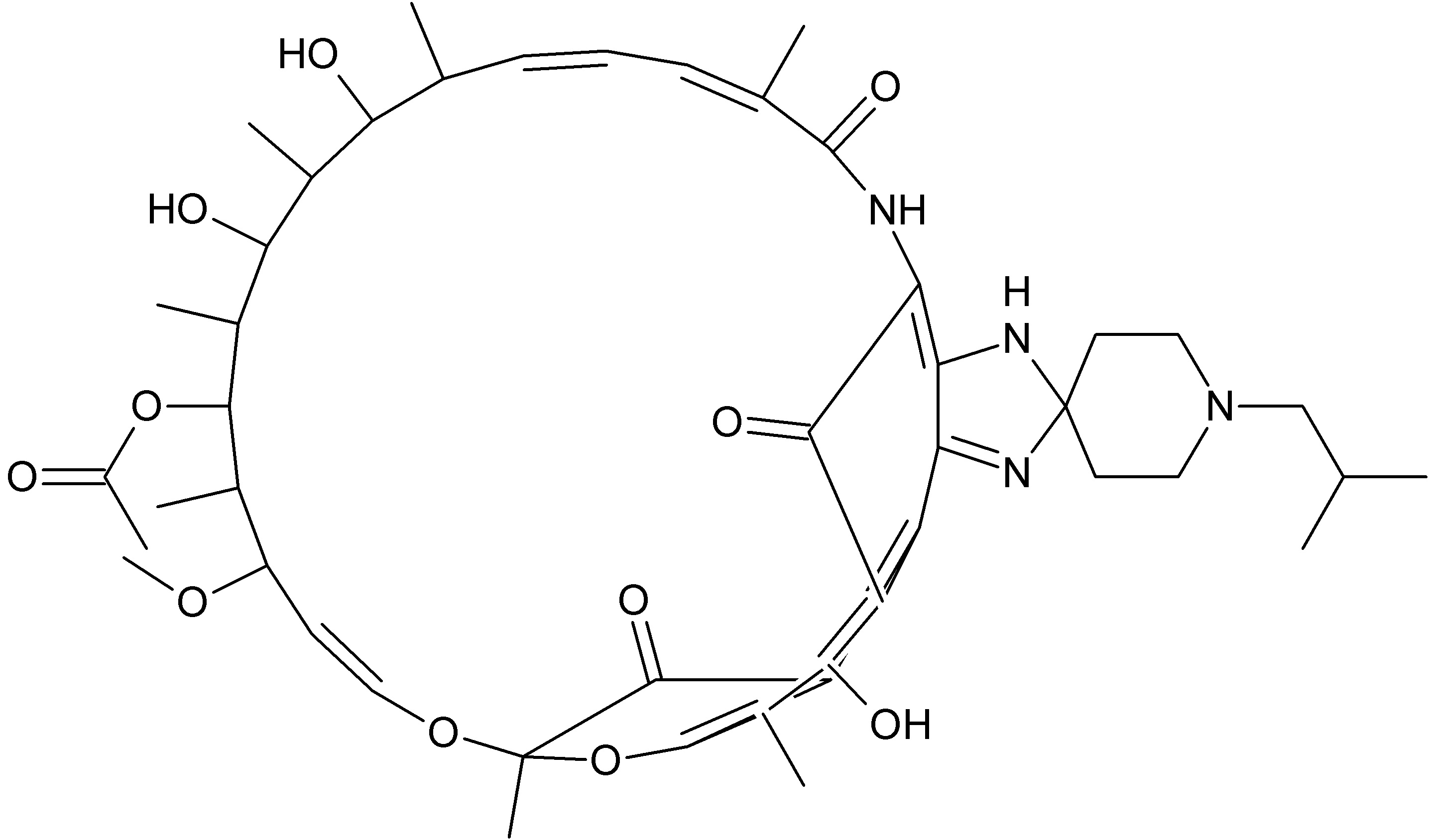
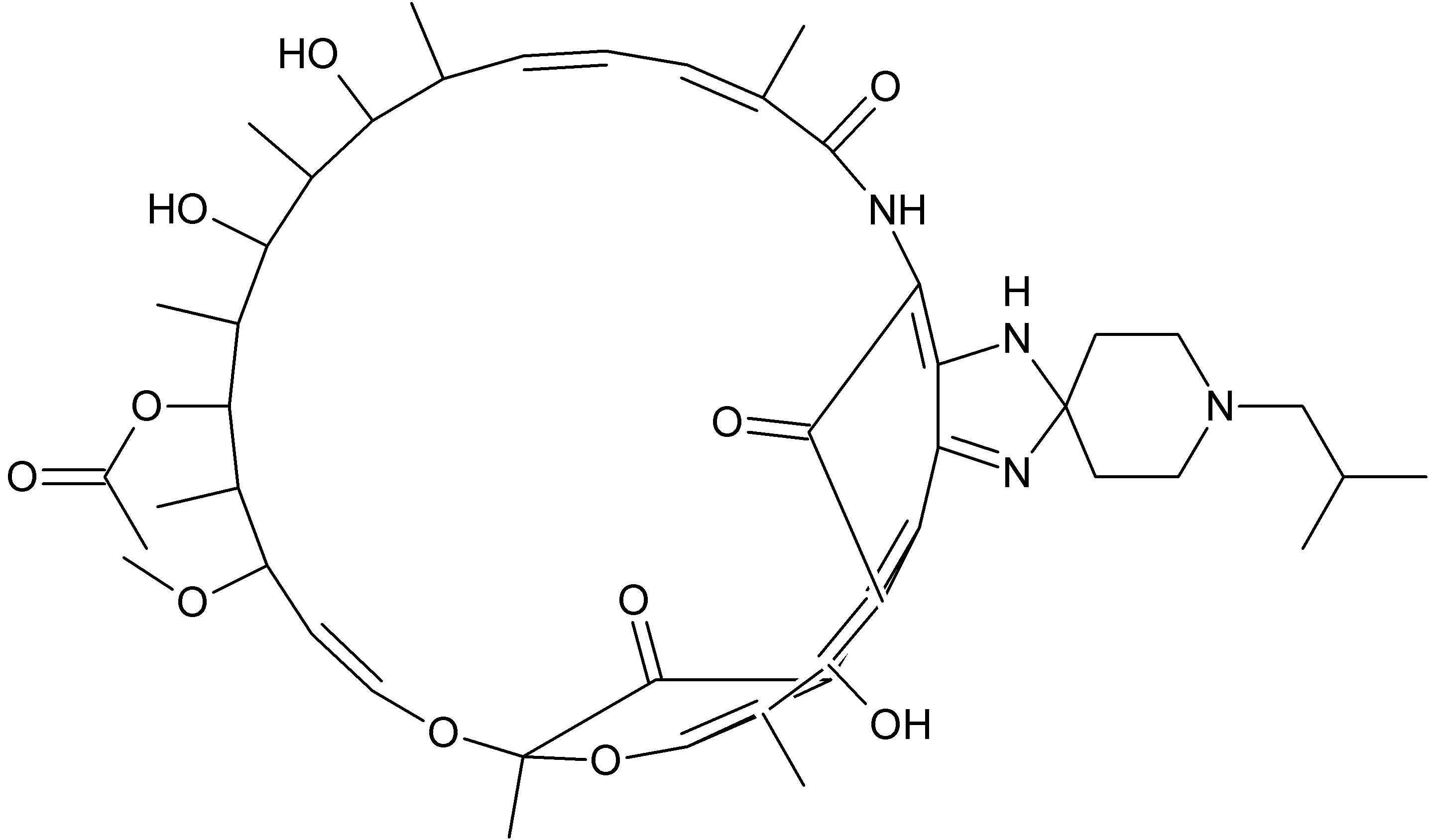
مضاد حيوي   Rifabutin  
عن طريق الفم
استقرار المستحضرات الصيدلانية استقرار مخاليط العوامل التي تؤثر على الاستقرار التوافق مراجع pdf
   التركيب الكيميائي  

عن طريق الفم
التوافق   عن طريق الفم     التوافق : Rifabutin              
لا توجد بيانات

  Mentions Légales