Pēdējā atjaunošana :
18/03/2026
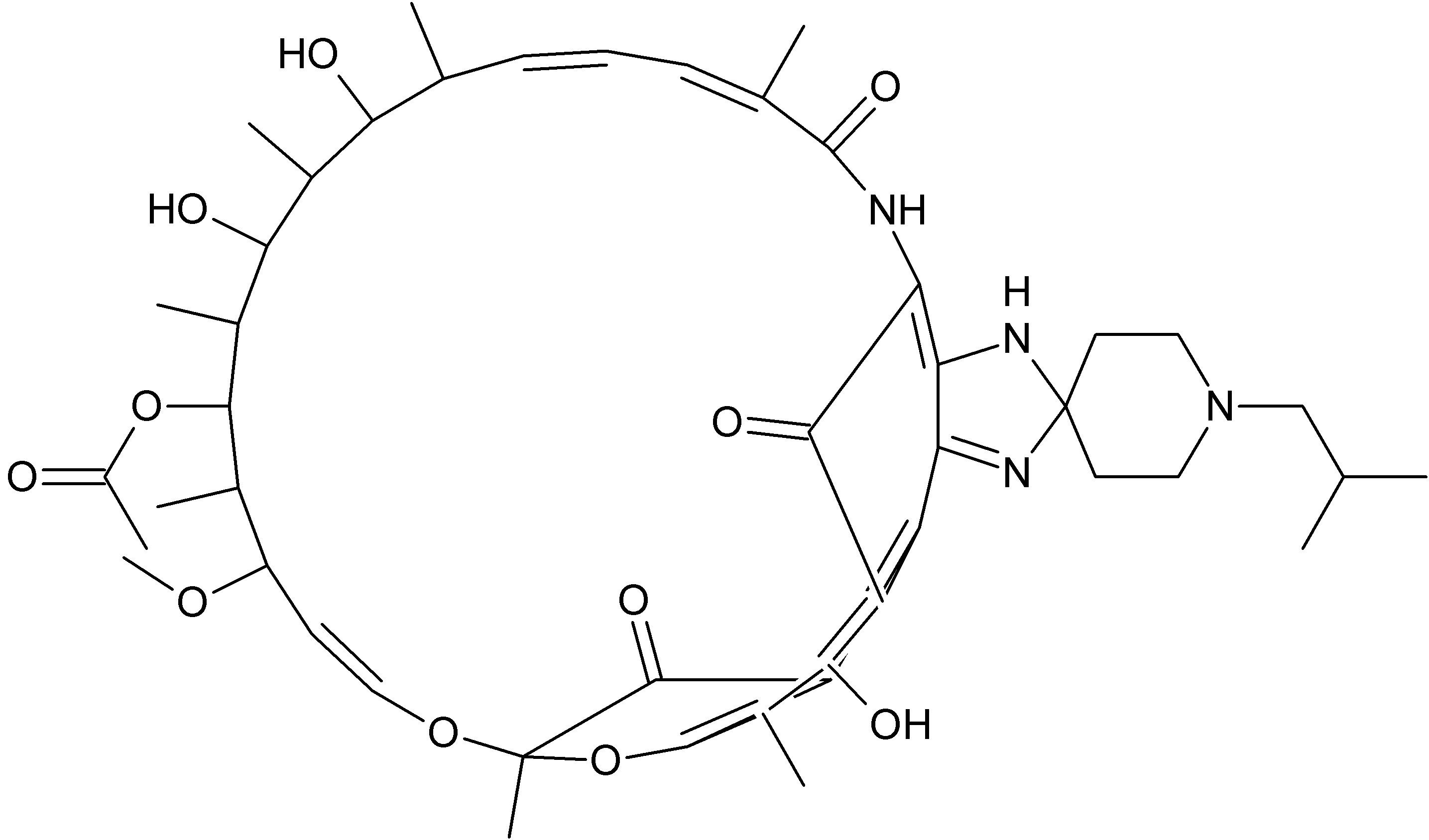
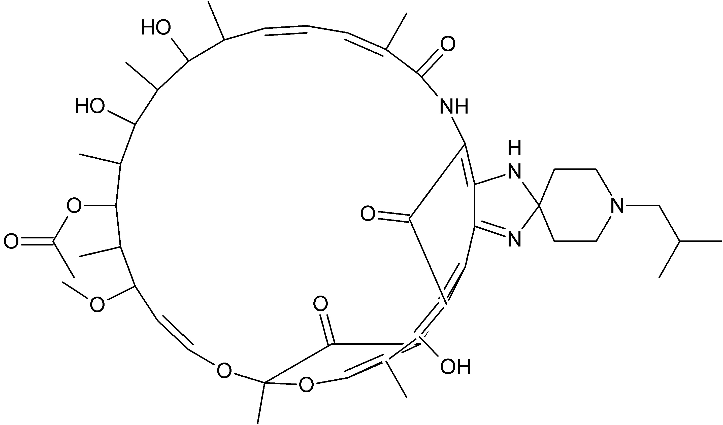
Antibiotika   Rifabutin  
Orāls šķīdums
Stabilitāte farmaceitisko preparātu Maisījuma stabilitāte Stabilitāti ietekmējoši faktori Saderība Literatūras saraksts pdf
   Ķīmiskā uzbūve   

Orāls šķīdums
Saderība   Orāls šķīdums   Saderība : Rifabutin              
Nav datu

  Mentions Légales