Останнє оновлення :
31/03/2026
Антибіотик   Colistin mesilate sodium  
аерозоль
ін'єкція
Стабільність фармацевтичних препаратів Стійкість сумішей Фактори, що впливають на стабільність Сумісність Список літератури pdf
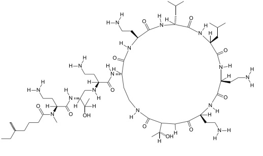
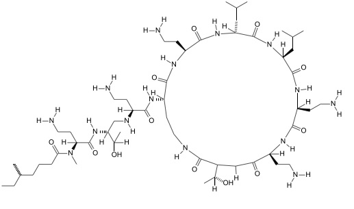
   Хімічна структура  

аерозоль
Стабільність фармацевтичних препаратів   аерозоль   Стабільність фармацевтичних препаратів : Colistin mesilate sodium     
Контейнер Origine допоміжна речовина температура Зберігання Тривалість стабільності Список літератури
Не визначено Пляшка для ін'єкцій 80 mg
Colistin CF
NaCl 0.9% >> 3 mL
2-8°C Не визначено
48 годину
3334

Не визначено Пляшка для ін'єкцій 80 mg
Colistin CF
NaCl 5,85 % >> 3 mL
2-8°C Не визначено
48 годину
3334


  Mentions Légales