Letztes “update” :
31/03/2026
Antibiotikum   Colistin mesilate sodium  
Aerosol
Injektion
Stabilität von pharmazeutischen Präparaten Gemengestabilität Stabilitätbeeinflussende Faktoren Kompatibilitäten Literaturverzeichnis pdf
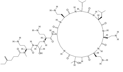
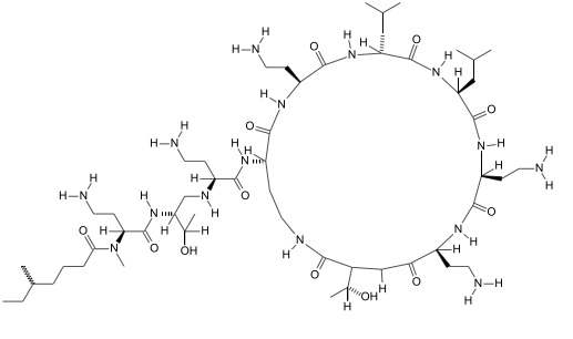
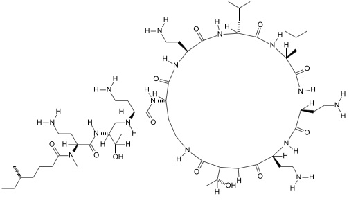
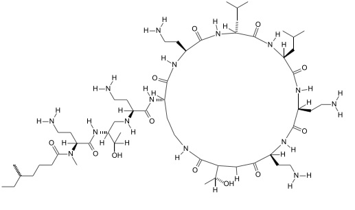
   Chemische Struktur  

Aerosol
Stabilität von pharmazeutischen Präparaten   Aerosol   Stabilität von pharmazeutischen Präparaten : Colistin mesilate sodium     
Behälter Origine Hilfsstoff Temperatur Konservierung Dauer der Stabilität Literaturverzeichnis
Nicht genau angegeben Injektionsflasche 80 mg
Colistin CF
NaCl 0.9% >> 3 mL
2-8°C Nicht genau angegeben
48 Stunde
3334

Nicht genau angegeben Injektionsflasche 80 mg
Colistin CF
NaCl 5,85 % >> 3 mL
2-8°C Nicht genau angegeben
48 Stunde
3334


  Mentions Légales