Viimeisin päivitys :
31/03/2026
Antibiootit   Colistin mesilate sodium  
Aerosoli
Injektioneste
Vakaus lääkevalmisteen Stabilius seoksissa Tekijät, jotka vaikuttavat stabiliuteen Yhteensopivuus Viitteet pdf
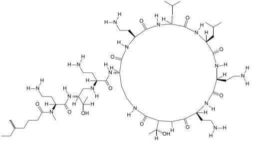
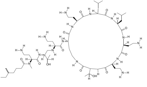
   Kemiallinen rakenne  

Aerosoli
Vakaus lääkevalmisteen   Aerosoli   Vakaus lääkevalmisteen : Colistin mesilate sodium     
Astia Origine Apuaine Lämpötila Säilytys Vakauden kesto Viitteet
Ei määritetty Injektionestepullo 80 mg
Colistin CF
NaCl 0,9 % >> 3 mL
2-8°C Ei määritetty
48 tunti
3334

Ei määritetty Injektionestepullo 80 mg
Colistin CF
NaCl 5,85 % >> 3 mL
2-8°C Ei määritetty
48 tunti
3334


  Mentions Légales