Laatste update :
31/03/2026
Antibioticum   Colistin mesilate sodium  
Aerosol
injecteerbaar geneesmiddel
Stabiliteit van farmaceutische preparaten Stabiliteit in mengsels Factoren die de stabiliteit beïnvloeden Verenigbaarheden Literatuur pdf
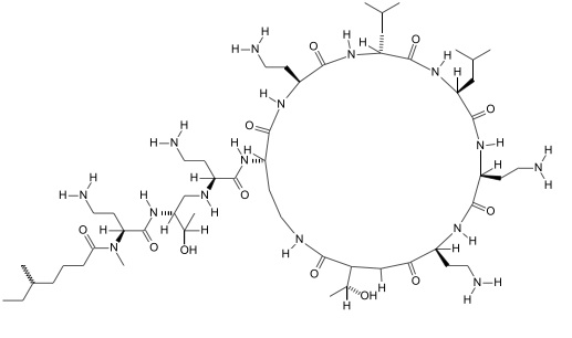
   Molecuulstructuur  

Aerosol
Stabiliteit van farmaceutische preparaten   Aerosol   Stabiliteit van farmaceutische preparaten : Colistin mesilate sodium     
Verpakking Origine  ikˈsipēənt hulpstof Temperatuur Bewaring Duur van de stabiliteit Literatuur
Niet gespecificeerd Geneeskunde fles voor injectie 80 mg
Colistin CF
NaCl 0.9% >> 3 mL
2-8°C Niet gespecificeerd
48 Uur
3334

Niet gespecificeerd Geneeskunde fles voor injectie 80 mg
Colistin CF
NaCl 5,85 % >> 3 mL
2-8°C Niet gespecificeerd
48 Uur
3334


  Mentions Légales