Poslední aktualizace :
31/03/2026
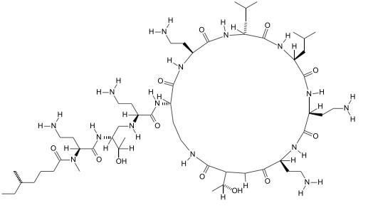
Antibiotikum   Colistin mesilate sodium  
Aerosol
injekce
Stabilita farmaceutických přípravků Stabilita směsí Faktory ovlivňující stabilitu Kompatibilita Odkazy pdf
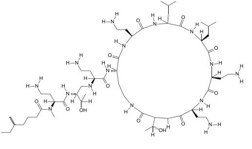
   Chemický vzorec  

Aerosol
Stabilita farmaceutických přípravků   Aerosol   Stabilita farmaceutických přípravků : Colistin mesilate sodium     
Obal Origine Pomocné látky Teplota Uchovávání Trvání stability Odkazy
Nespecifikováno Lékovka pro injekci 80 mg
Colistin CF
NaCl 0.9% >> 3 mL
2-8°C Nespecifikováno
48 Hodina
3334

Nespecifikováno Lékovka pro injekci 80 mg
Colistin CF
NaCl 5,85 % >> 3 mL
2-8°C Nespecifikováno
48 Hodina
3334


  Mentions Légales