Seneste opdatering :
31/03/2026
Antibiotisk   Colistin mesilate sodium  
Aerosol
Injektion
Stabilitet af farmaceutiske tilberedninger Stabilitet i blandinger Faktorer der påvirker stabiliteten Kompatibilitet Bibliografi pdf
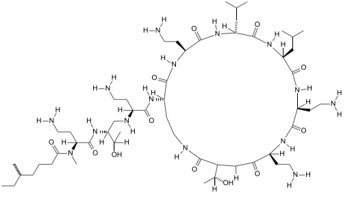
   Kemisk struktur  

Aerosol
Stabilitet af farmaceutiske tilberedninger   Aerosol   Stabilitet af farmaceutiske tilberedninger : Colistin mesilate sodium     
Beholder Origine Hjælpestof Temperatur Konservering Varighed af stabilitet Bibliografi
Ikke angivet nærmere Medicinflaske til injektion 80 mg
Colistin CF
NaCl 0.9% >> 3 mL
2-8°C Ikke nærmere angivet
48 Time
3334

Ikke angivet nærmere Medicinflaske til injektion 80 mg
Colistin CF
NaCl 5,85 % >> 3 mL
2-8°C Ikke nærmere angivet
48 Time
3334


  Mentions Légales