Ultimo aggiornamento :
31/03/2026
Antibiotico   Colistin mesilate sodium  
Aerosol
Iniezione
Stabilità dei preparati farmaceutici Stabilità in miscela Fattori che influenzano la stabilità Compatibilità Bibliografia pdf
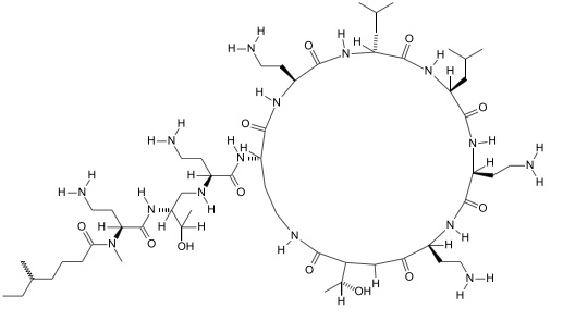
   Struttura chimica  

Aerosol
Stabilità dei preparati farmaceutici   Aerosol   Stabilità dei preparati farmaceutici : Colistin mesilate sodium     
contenitore Origine eccipiente Temperatura Conservazione Durata della stabilità Bibliografia
Non precisato Bottiglia di medicina per l'iniezione 80 mg
Colistin CF
NaCl 0.9% >> 3 mL
2-8°C Non precisata
48 Ora
3334

Non precisato Bottiglia di medicina per l'iniezione 80 mg
Colistin CF
NaCl 5,85 % >> 3 mL
2-8°C Non precisata
48 Ora
3334


  Mentions Légales