Son güncelleme :
18/03/2026
kanser ilaç   Dacarbazine  
Enjeksiyon
Çözeltilerin stabilitesi Karışımlardaki stabilitesi Stabiliteyi etkileyen faktörler Uyumluluk Uygulama yöntemi Kaynaklar pdf
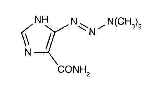
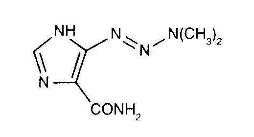
   Kimyasal yapı   

Ticari isim   Ticari isim     

Trade names are indicative and excipients composition can be different depending on the country and manufacturers

Acocarb Meksika
Celdaz Hindistan, Peru
Dabaz Brezilya, Hindistan
Dacarba Hindistan
Dacarbazin Avusturya, Macaristan, Malezya, Polonya
Dacarbazina Arjantin, Brezilya, Ekvador, İspanya, İtalya, Kolombiya, Meksika, Peru, Şili
Dacarbazine Amerika Birleşik Devletleri, Avustralya, Belçika, Büyük Britanya, Danimarka, Hindistan, İran, İrlanda, İsveç, Kanada, yeni Zelanda
Dacarex Hindistan
Dacarin Hindistan
Dacarpalm Peru
Dacarzine Hindistan
Dacin İsviçre, Slovenya
Dacmed Hindistan
Daracina Kolombiya
Deticene Fransa, Hollanda, Portekiz, Suudi Arabistan, Yunanistan
Detimedac Almanya, Kolombiya, Romanya, Tunus
DTIC Amerika Birleşik Devletleri, Avusturya, yeni Zelanda
Fauldetic Portekiz
Oncocarbil Arjantin, Ekvador, Peru
Tiferomed Meksika

Stabiliteyi etkileyen faktörler    Enjeksiyon    Stabiliteyi etkileyen faktörler : Dacarbazine        

  Mentions Légales