Ultimo aggiornamento :
18/03/2026
farmaco contro il cancro   Dacarbazine  
Iniezione
Stabilità in soluzione Stabilità in miscela Fattori che influenzano la stabilità Compatibilità metodo di iniezione Bibliografia pdf
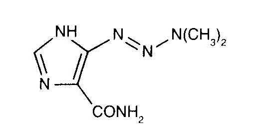
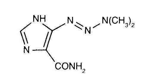
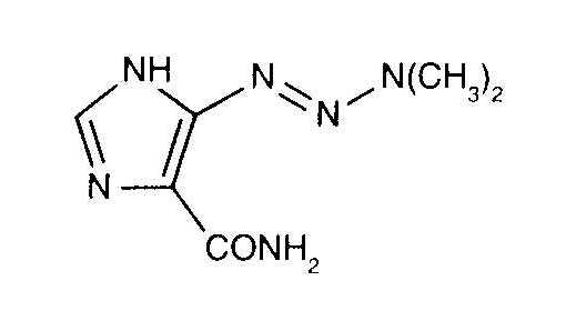
   Struttura chimica  

Nome commerciale   Nome commerciale     

Trade names are indicative and excipients composition can be different depending on the country and manufacturers

Acocarb Messico
Celdaz India, Perù
Dabaz Brasile, India
Dacarba India
Dacarbazin Austria, Malaysia, Polonia, Ungheria
Dacarbazina Argentina, Brasile, Chile, Colombia, Ecuador, Italia, Messico, Perù, Spagna
Dacarbazine Australia, Belgio, Canada, Danimarca, Gran Bretagna, India, Iran, Irlanda, nuova Zelanda, Stati Uniti d’America, Svezia
Dacarex India
Dacarin India
Dacarpalm Perù
Dacarzine India
Dacin Slovenia, Svizzera
Dacmed India
Daracina Colombia
Deticene Arabia Saudita, Francia, Grecia, Paesi Bassi, Portogallo
Detimedac Colombia, Germania, Romania, Tunisia
DTIC Austria, nuova Zelanda, Stati Uniti d’America
Fauldetic Portogallo
Oncocarbil Argentina, Ecuador, Perù
Tiferomed Messico

Fattori che influenzano la stabilità   Iniezione   Fattori che influenzano la stabilità : Dacarbazine        

  Mentions Légales