最新更新 :
18/03/2026
抗癌藥物   Dacarbazine  
注射液
溶液稳定性 混合物稳定性 影响稳定性的因素 兼容性 用药途径 引用文献 PDF
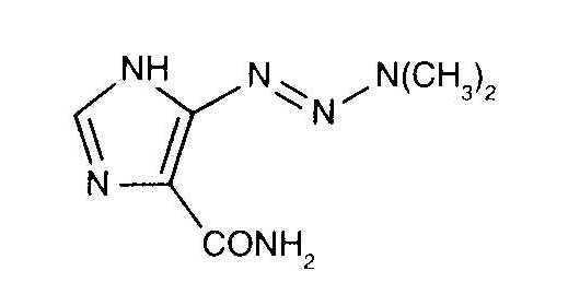
   化学式  

商品名   商品名     

商品名仅供参考, 药品所用的辅料可能依国家或厂商不同有所不同。

Acocarb 墨西哥
Celdaz 印度, 秘鲁
Dabaz 印度, 巴西
Dacarba 印度
Dacarbazin 匈牙利, 奥地利, 波兰, 马来西亚
Dacarbazina 厄瓜多尔, 哥伦比亚, 墨西哥, 巴西, 意大利, 智利, 秘鲁, 西班牙, 阿根廷
Dacarbazine 丹麦, 伊朗, 加拿大, 印度, 新西蘭, 比利时, 澳大利亚, 爱尔兰, 瑞典, 美国, 英国
Dacarex 印度
Dacarin 印度
Dacarpalm 秘鲁
Dacarzine 印度
Dacin 斯洛文尼亚, 瑞士
Dacmed 印度
Daracina 哥伦比亚
Deticene 希腊, 沙特阿拉伯, 法国, 荷兰, 葡萄牙
Detimedac 哥伦比亚, 德国, 突尼斯, 罗马尼亚
DTIC 奥地利, 新西蘭, 美国
Fauldetic 葡萄牙
Oncocarbil 厄瓜多尔, 秘鲁, 阿根廷
Tiferomed 墨西哥

影响稳定性的因素   注射液   影响稳定性的因素 : Dacarbazine        

  Mentions Légales