viimane versioon :
18/03/2026
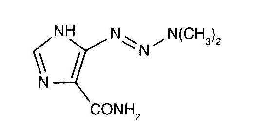
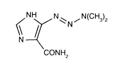
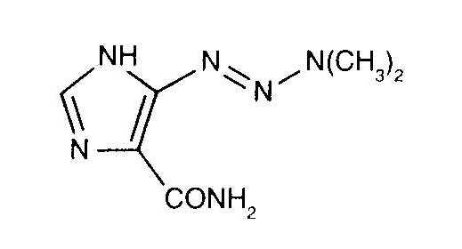
vähiravimite   Dacarbazine  
Süsteravim
Stabiilsus lahustes Stabiilsust mõjutavad tegurid stabiilsust mõjutavad faktorid Sobimatus Manustamis viis Viited pdf
   keemiline struktuur  

Kaubanduslikud nimed erinevates maades   Kaubanduslikud nimed erinevates maades     

Preparaatide nimed on näitlikud ja abianete sisaldus võib erineda sõltuvalt riigist ja laborist

Acocarb Mehhiko
Celdaz India, Maroko
Dabaz Brasiilia, India
Dacarba India
Dacarbazin Austria, Malaisia, Poola, Ungari
Dacarbazina Argentiina, Brasiilia, Ecuador, Hispaania, Itaalia, Kolumbia, Maroko, Mehhiko, Tšiili
Dacarbazine Ameerika ühendriigid, Austraalia, Belgia, Iirimaa, India, Iraan, Kanada, Rootsi, Suurbritannia, Taani, uus-Meremaa
Dacarex India
Dacarin India
Dacarpalm Maroko
Dacarzine India
Dacin Sloveenia, Sveits
Dacmed India
Daracina Kolumbia
Deticene Holland, Kreeka, Portugal, Prantsusmaa, Saudi Araabia
Detimedac Kolumbia, Rumeenia, Saksamaa, Tuneesia
DTIC Ameerika ühendriigid, Austria, uus-Meremaa
Fauldetic Portugal
Oncocarbil Argentiina, Ecuador, Maroko
Tiferomed Mehhiko

stabiilsust mõjutavad faktorid   Süsteravim   stabiilsust mõjutavad faktorid : Dacarbazine        

  Mentions Légales