Siste oppdatering :
18/03/2026
kreft narkotika   Dacarbazine  
Injeksjon
Oppløsningsstabilitet Stabilitet i blandinger Faktorer som påvirker stabiliteten Kompatibilitet Administrasjonsmåte Referanser pdf
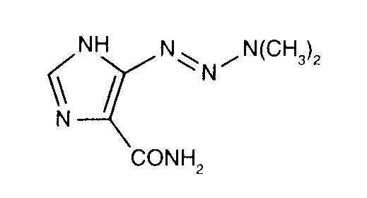
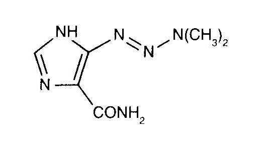
   Kjemisk struktur  

Handelsnavn   Handelsnavn     

Handelsnavn er veiledende og sammensetning av hjelpestoffer kan være forskjellig avhengig av land og produsent

Acocarb Mexico
Celdaz India, Peru
Dabaz Brasil, India
Dacarba India
Dacarbazin Malaysia, Polen, Ungarn, Østerrike
Dacarbazina Argentina, Brasil, Chile, Colombia, Ecuador, Italia, Mexico, Peru, Spania
Dacarbazine Australia, Belgia, Canada, Danmark, India, Iran, Irland, New Zealand, Storbritannia, Sverige, USA
Dacarex India
Dacarin India
Dacarpalm Peru
Dacarzine India
Dacin Slovenia, Sveits
Dacmed India
Daracina Colombia
Deticene Frankrike, Hellas, Nederland, Portugal, Saudi-Arabia
Detimedac Colombia, Romania, Tunisia, Tyskland
DTIC New Zealand, USA, Østerrike
Fauldetic Portugal
Oncocarbil Argentina, Ecuador, Peru
Tiferomed Mexico

Faktorer som påvirker stabiliteten   Injeksjon   Faktorer som påvirker stabiliteten : Dacarbazine        

  Mentions Légales