Pēdējā atjaunošana :
18/03/2026
vēzis narkotiku   Dacarbazine  
Injekcija
Šķīduma stabilitāte Maisījuma stabilitāte Stabilitāti ietekmējoši faktori Saderība Levadīšanas veids Literatūras saraksts pdf
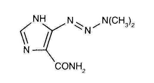
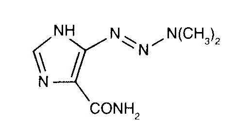
   Ķīmiskā uzbūve   

Oriģinālais nosaukums   Oriģinālais nosaukums     

Tirdzniecības nosaukumi ir apzīmējoši un palīgvielas var atšķirties dažādām valstīm un laboratorijām

Acocarb Meksika
Celdaz Indija, Peru
Dabaz Brazīlija, Indija
Dacarba Indija
Dacarbazin Austrija, Malaizija, Polija, Ungārija
Dacarbazina Argentīna, Brazīlija, Čīle, Ekvadora, Itālija, Kolumbija, Meksika, Peru, Spānija
Dacarbazine Amerikas Savienotās Valstis, Austrālija, Beļģija, Dānija, Indija, Irāna, Īrija, Jaunzēlande, Kanāda, Lielbritānija, Zviedrija
Dacarex Indija
Dacarin Indija
Dacarpalm Peru
Dacarzine Indija
Dacin Slovēnija, Šveice
Dacmed Indija
Daracina Kolumbija
Deticene Francija, Grieķija, Holande, Portugāle, Saūda Arābija
Detimedac Kolumbija, Rumānija, Tunisija, Vācija
DTIC Amerikas Savienotās Valstis, Austrija, Jaunzēlande
Fauldetic Portugāle
Oncocarbil Argentīna, Ekvadora, Peru
Tiferomed Meksika

Stabilitāti ietekmējoši faktori   Injekcija   Stabilitāti ietekmējoši faktori : Dacarbazine        

  Mentions Légales