Última actualização :
18/03/2026
droga contra o câncer   Dacarbazine  
injetável
Estabilidade em soluções simples Estabilidade em misturas Factores que afectam a sua estabilidade Compatibilidade Método de administração Bibliografía pdf
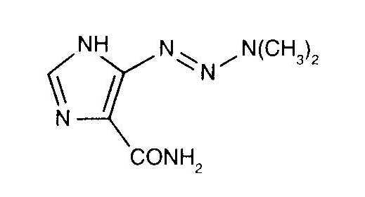
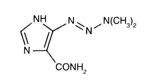
   estrutura química  

Nomes comerciais nos diversos países   Nomes comerciais nos diversos países     

OS NOMES COMERCIAIS SÃO INDICATIVOS E OS EXCIPIENTES DA FORMULAÇÃO PODEM SER DIFERENTES CONFORME O PAÍS E FABRICANTE.

Acocarb México
Celdaz Índia, Peru
Dabaz Brasil, Índia
Dacarba Índia
Dacarbazin Austria, Hungria, Malásia, Polonia
Dacarbazina Argentina, Brasil, Chilli, Colômbia, Equator, Espanha, Itália, México, Peru
Dacarbazine Australia, Bélgica, Canadá, Dinamarca, Estados Unidos de América, Gran-bretanha, Índia, Irã, Irlanda, nova Zelândia, Suècia
Dacarex Índia
Dacarin Índia
Dacarpalm Peru
Dacarzine Índia
Dacin Eslovenia, Suicia
Dacmed Índia
Daracina Colômbia
Deticene Arábia Saudita, França, Grècia, Países Baixos, Portugal
Detimedac Alemanha, Colômbia, Romènia, Tunísia
DTIC Austria, Estados Unidos de América, nova Zelândia
Fauldetic Portugal
Oncocarbil Argentina, Equator, Peru
Tiferomed México

Factores que afectam a sua estabilidade   injetável   Factores que afectam a sua estabilidade : Dacarbazine        

  Mentions Légales