Останнє оновлення :
17/12/2025
Протиотрута   Sugammadex  
ін'єкція
Стійкість в розчинах Стійкість сумішей Фактори, що впливають на стабільність Сумісність Шлях введення Список літератури pdf
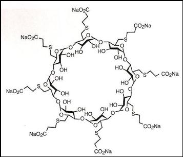
   Хімічна структура  

Торгова назва   Торгова назва     

Торгові назви є орієнтовними, а склад допоміжних речовин може бути різним залежно від країни та виробника

Bridion Ірландія, Ісландія, Іспанія, Італія, Австралія, Аргентина, Бельгія, Бразилія, Великобританія, Данія, Еквадор, Колумбія, Люксембург, Малайзія, Мексика, Німеччина, Нова Зеландія, Норвегія, Перу, Португалія, Румунія, Туреччина, Угорщина, Франція, Чилі, Швейцарія, Японія
Desintunev Мексика
Sagomyl Чилі
Sugadion Чилі
Sugamastar Перу
Sugammadex Ірландія, Іспанія, Італія, Бельгія, Угорщина, Фінляндія, Чилі
Suvitali Мексика
Стійкість сумішей   ін'єкція   Стійкість сумішей : Sugammadex     
7 / 5 000 Résultats de traduction Немає даних

  Mentions Légales