Zadnji put ažurirano :
17/12/2025
protuotrov   Sugammadex  
injekcija
Stabilizacija rješenja Stabilnost mješavine Stabilizacijski faktor Kompatibilnosti način davanja lijeka Bibliografija pdf
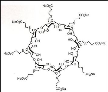
   Kemijska struktura  

Nekomercijalni   Nekomercijalni     

Zaštićeni nazivi su indikativni i sastav ekscipijensa može biti različit ovisno o državi i laboratorijima

Bridion Argentina, Australija, Belgija, Brazil, Čile, Danska, Ekvador, Francuska, Irska, Island, Italija, Japan, Kolumbija, Luksemburg, Madžarska, Malezija, Meksiko, Njemačka, Norveška, novi Zeland, Peru, Portugal, Rumunjska, Španjolska, Švicarska, Turska, Velika Britanija
Desintunev Meksiko
Sagomyl Čile
Sugadion Čile
Sugamastar Peru
Sugammadex Belgija, Čile, Finska, Irska, Italija, Madžarska, Španjolska
Suvitali Meksiko
Stabilnost mješavine   injekcija   Stabilnost mješavine : Sugammadex     
bez podataka

  Mentions Légales