Última actualização :
17/12/2025
antídoto   Sugammadex  
injetável
Estabilidade em soluções simples Estabilidade em misturas Factores que afectam a sua estabilidade Compatibilidade Método de administração Bibliografía pdf
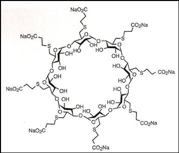
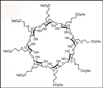
   estrutura química  

Nomes comerciais nos diversos países   Nomes comerciais nos diversos países     

OS NOMES COMERCIAIS SÃO INDICATIVOS E OS EXCIPIENTES DA FORMULAÇÃO PODEM SER DIFERENTES CONFORME O PAÍS E FABRICANTE.

Bridion Alemanha, Argentina, Australia, Bélgica, Brasil, Chilli, Colômbia, Dinamarca, Equator, Espanha, França, Gran-bretanha, Hungria, Irlanda, Islandia, Itália, Japón, Luxemburgo, Malásia, México, Noruega, nova Zelândia, Peru, Portugal, Romènia, Suicia, Turquia
Desintunev México
Sagomyl Chilli
Sugadion Chilli
Sugamastar Peru
Sugammadex Bélgica, Chilli, Espanha, Finlandia, Hungria, Irlanda, Itália
Suvitali México
Estabilidade em misturas   injetável   Estabilidade em misturas : Sugammadex     
Ausência de dados

  Mentions Légales