Senaste uppdateringen :
17/12/2025
Antidot   Sugammadex  
injektion
Lösningars stabilitet Stabilitet i blandningar Faktorer som påverkar stabiliteten Kompatibilitet Administreringssätt Hänvisningar pdf
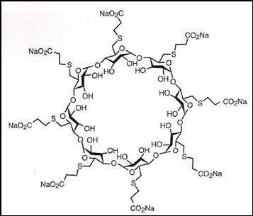
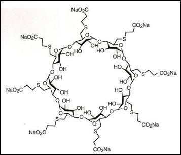
   Molekylstruktur  

Varunamn   Varunamn     

Angivna handelsnamn på läkemedel är enbart vägledande då formulering inklusive hjälpämnen kan variera mellan länder och tillverkare

Bridion Argentina, Australien, Belgien, Brasilien, Chile, Colombia, Danmark, Ecuador, Frankrike, Irland, Island, Italien, Japan, Luxemburg, Malaysia, Mexiko, Norge, nya Zeeland, Peru, Portugal, Rumänien, Schweiz, Spanien, Storbritannien, Turkiet, Tyskland, Ungern
Desintunev Mexiko
Sagomyl Chile
Sugadion Chile
Sugamastar Peru
Sugammadex Belgien, Chile, Finland, Irland, Italien, Spanien, Ungern
Suvitali Mexiko
Stabilitet i blandningar   injektion   Stabilitet i blandningar : Sugammadex     
Ingen uppgift

  Mentions Légales