Ultimele actualizari :
17/12/2025
Antidot   Sugammadex  
Injectabil
Stabilitatea in solutie Stabilitatea in amestec Factorii care influenteaza stabilitatea Compatibilitate Microunde Bibliografie pdf
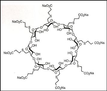
   Formula chimica  

Denumirea comerciala   Denumirea comerciala     

Trade names are indicative and excipients composition can be different depending on the country and manufacturers

Bridion Argentina, Australia, Belgia, Brazilia, Chilli, Columbia, Danemarca, Ecuador, Elvetia, Franta, Germania, Irlanda, Islanda, Italia, Japonia, Luxemburg, Malaezia, Marea Britanie, Mexic, Norvegia, noua Zeelandă, Peru, Portugalia, Romania, Spania, Turcia, Ungaria
Desintunev Mexic
Sagomyl Chilli
Sugadion Chilli
Sugamastar Peru
Sugammadex Belgia, Chilli, Finlanda, Irlanda, Italia, Spania, Ungaria
Suvitali Mexic
Stabilitatea in amestec   Injectabil   Stabilitatea in amestec : Sugammadex     
Absenta de date

  Mentions Légales