آخر تحديث :
17/12/2025
أدوية الترياق   Sugammadex  
حقن
الاستقرار في حلول استقرار مخاليط العوامل التي تؤثر على الاستقرار التوافق طريقة التعاطي مراجع pdf
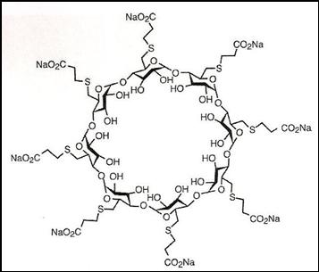
   التركيب الكيميائي  

حجز الاسم التجاري   حجز الاسم التجاري     

تحذير الأسماء التجاريه المختلفه قد تحتوي علي محتوي إضافات مختلفة حسب الدوله و المعمل

Bridion أستراليا, ألمانيا, أيسلندا, إسبانيا, إيطاليا, الأرجنتين, الإكوادور, البرازيل, البرتغال, الدنمارك, المكسيك, النرويج, اليابان, ايرلندا, بريطانيا العظمي, بلجيكا, بيرو, تركيا, تشيلي, رومانيا, زيلاندا الجديدة, سويسرا, فرنسا, كولومبيا, لوكسمبورغ, ماليزيا, هنغاريا
Desintunev المكسيك
Sagomyl تشيلي
Sugadion تشيلي
Sugamastar بيرو
Sugammadex إسبانيا, إيطاليا, ايرلندا, بلجيكا, تشيلي, فنلندا, هنغاريا
Suvitali المكسيك
استقرار مخاليط   حقن   استقرار مخاليط : Sugammadex     
لا توجد بيانات

  Mentions Légales