Última actualización :
17/12/2025
Antídoto   Sugammadex  
Inyectables
Estabilidad en solucion Estabilidad en mezcla Factores que influyen sobre la estabilidad Compatibilidades método de inyección Bibliografía pdf
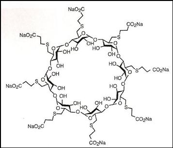
   Estructura química  

Nombre comercial   Nombre comercial     

Los nombres comerciales son orientativos y los excipientes de la formulación pueden ser distintos dependiendo del país y del laboratorio fabricante.

Bridion Alemania, Argentina, Australia, Bélgica, Brasil, Chile, Colombia, Dinamarca, Ecuador, España, Francia, Gran Bretaña, Hungría, Irlanda, Islandia, Italia, Japón, Luxemburgo, Malasia, Marruecos, México, Noruega, Nueva Zelanda, Portugal, Rumania, Suiza, Turquía
Desintunev México
Sagomyl Chile
Sugadion Chile
Sugamastar Marruecos
Sugammadex Bélgica, Chile, España, Finlandia, Hungría, Irlanda, Italia
Suvitali México

Factores que influyen sobre la estabilidad   Inyectables   Factores que influyen sobre la estabilidad : Sugammadex        
Ausencia de datos

  Mentions Légales