Siste oppdatering :
17/12/2025
Motgift   Sugammadex  
Injeksjon
Oppløsningsstabilitet Stabilitet i blandinger Faktorer som påvirker stabiliteten Kompatibilitet Administrasjonsmåte Referanser pdf
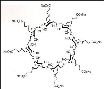
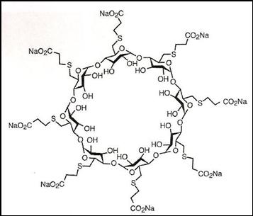
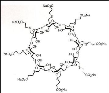
   Kjemisk struktur  

Handelsnavn   Handelsnavn     

Handelsnavn er veiledende og sammensetning av hjelpestoffer kan være forskjellig avhengig av land og produsent

Bridion Argentina, Australia, Belgia, Brasil, Chile, Colombia, Danmark, Ecuador, Frankrike, Irland, Island, Italia, Japan, Luxembourg, Malaysia, Mexico, New Zealand, Norge, Peru, Portugal, Romania, Spania, Storbritannia, Sveits, Tyrkia, Tyskland, Ungarn
Desintunev Mexico
Sagomyl Chile
Sugadion Chile
Sugamastar Peru
Sugammadex Belgia, Chile, Finland, Irland, Italia, Spania, Ungarn
Suvitali Mexico

Faktorer som påvirker stabiliteten   Injeksjon   Faktorer som påvirker stabiliteten : Sugammadex        
Ingen opplysninger

  Mentions Légales