Dernière mise à jour :
17/12/2025
Antidote   Sugammadex  
injectable
Stabilité des solutions Stabilité en mélange Facteur influençant la stabilité Compatibilités Voie d’administration Bibliographie pdf
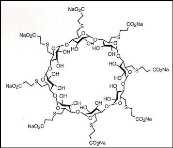
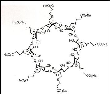
   Structure chimique  

Noms commerciaux   Noms commerciaux     

Les noms commerciaux sont donnés à titre indicatif et la composition en excipients peut être différente selon les pays et selon les laboratoires

Bridion Allemagne, Argentine, Australie, Belgique, Brésil, Chili, Colombie, Danemark, Equateur, Espagne, France, Grande Bretagne, Hongrie, Irlande, Islande, Italie, Japon, Luxembourg, Malaisie, Mexique, Norvège, Nouvelle Zélande, Pérou, Portugal, Roumanie, Suisse, Turquie
Desintunev Mexique
Sagomyl Chili
Sugadion Chili
Sugamastar Pérou
Sugammadex Belgique, Chili, Espagne, Finlande, Hongrie, Irlande, Italie
Suvitali Mexique

Facteur influençant la stabilité   injectable   Facteur influençant la stabilité : Sugammadex        
Aucune donnée

  Mentions Légales