Последнее обновление :
17/12/2025
Противоядие   Sugammadex  
Инъекция
Стабильность растворов Стабильность смесей Факторы, которые влияют на стабильность Совместимость Способы введения Библиография pdf
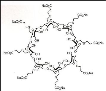
   Химическая структура  

Товарное название   Товарное название     

Trade names are indicative and excipients composition can be different depending on the country and manufacturers

Bridion Австралия, Аргентина, Бельгия, Бразилия, Великобритания, Венгрия, Германия, Дания, Ирландия, Исландия, Испания, Италия, Колумбия, Люксембург, Малайзия, Мексика, новая Зеландия, Норвегия, Перу, Португалия, Румыния, Турция, Франция, чили, Швейцария, Эквадор, Япония
Desintunev Мексика
Sagomyl чили
Sugadion чили
Sugamastar Перу
Sugammadex Бельгия, Венгрия, Ирландия, Испания, Италия, Финляндия, чили
Suvitali Мексика

Факторы, которые влияют на стабильность   Инъекция   Факторы, которые влияют на стабильность : Sugammadex        
данных нет

  Mentions Légales