Poslední aktualizace :
17/12/2025
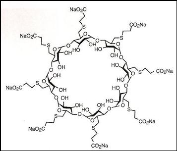
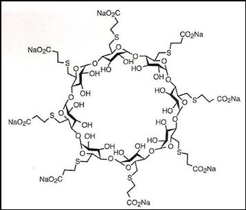
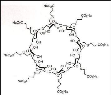
Antidotas   Sugammadex  
Įpurškimas
Tirpalų stabilumas Mišinių stabilumas Stabilumą lemiantys veiksniai Suderinamumas Leidimo būdai Bibliografija pdf
   Cheminė sandara  

Prekinis pavadinimas   Prekinis pavadinimas     

Trade names are indicative and excipients composition can be different depending on the country and manufacturers

Bridion Airija, Argentina, Australija, Belgija, Brazilija, Čilė, Danija, Didžioji Britanija, Ekvadoras, Islandija, Ispanija, Italija, Japonija, Kolumbija, Liuksemburgas, Malaizija, Meksikas, Naujojoje Zelandijoje, Norvegija, Peru, Portugalija, Prancūzija, Rumunija, Šveicarija, Turkija, Vengrija, Vokietija
Desintunev Meksikas
Sagomyl Čilė
Sugadion Čilė
Sugamastar Peru
Sugammadex Airija, Belgija, Čilė, Ispanija, Italija, Suomija, Vengrija
Suvitali Meksikas

Stabilumą lemiantys veiksniai   Įpurškimas   Stabilumą lemiantys veiksniai : Sugammadex        
Nėra duomenų

  Mentions Légales