Viimeisin päivitys :
17/12/2025
Antidootit   Sugammadex  
Injektioneste
Stabilius liuoksessa Stabilius seoksissa Tekijät, jotka vaikuttavat stabiliuteen Yhteensopivuus Antotapa Viitteet pdf
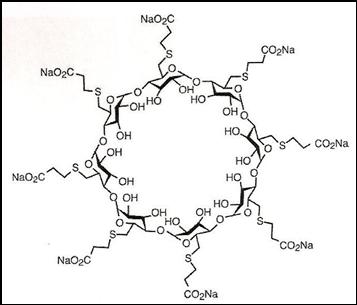
   Kemiallinen rakenne  

Kauppanimi   Kauppanimi     

Trade names are indicative and excipients composition can be different depending on the country and manufacturers

Bridion Argentiina, Australia, Belgia, Brasilia, Chile, Ecuador, Espanja, Irlanti, Islanti, Iso-Britannia, Italia, Japani, Kolumbia, Luxemburg, Malesia, Marokko, Meksiko, New Zealand, Norja, Portugali, Ranska, Romania, Saksa, Sveitsi, Tanska, Turkki, Unkari
Desintunev Meksiko
Sagomyl Chile
Sugadion Chile
Sugamastar Marokko
Sugammadex Belgia, Chile, Espanja, Irlanti, Italia, Suomi, Unkari
Suvitali Meksiko

Tekijät, jotka vaikuttavat stabiliuteen   Injektioneste   Tekijät, jotka vaikuttavat stabiliuteen : Sugammadex        
ei tietoa

  Mentions Légales