Последнее обновление :
18/03/2026
Цитостатическое средство   Azacitidine  
Инъекция
Стабильность растворов Стабильность смесей Факторы, которые влияют на стабильность Совместимость Способы введения Библиография pdf
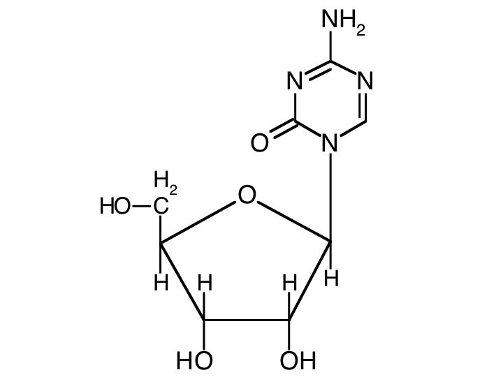
   Химическая структура  

Товарное название   Товарное название     

Trade names are indicative and excipients composition can be different depending on the country and manufacturers

Amilix Аргентина
Arquimes Аргентина
Azacimyl чили
Azacitidina Аргентина, Перу, чили
Azacitidine Германия, Соединённые Штаты Америки
Azacor Перу
Azadin Турция
Azamex Аргентина
Azanova Аргентина
Azateva Аргентина
Azida Турция
Azitech Аргентина
Citofin Аргентина
Iclacitidina Перу
Iterbil Аргентина
Maturus Аргентина
Mietozitidina Аргентина, Перу
Nimodac Аргентина
Remitiva чили
Tazadir Аргентина
Vidaza Австралия, Аргентина, Бельгия, Бразилия, Великобритания, Венгрия, Германия, Исландия, Испания, Италия, Канада, Колумбия, Люксембург, Малайзия, Мексика, новая Зеландия, Норвегия, Перу, Румыния, Словения, Соединённые Штаты Америки, Тунис, Турция, Финляндия, Франция, Хорватия, чили, Швейцария, Швеция, Япония
Zacidonel Мексика
Zylatadina Аргентина
Библиография   Инъекция   Библиография : Azacitidine  
тип публикация
414 Журнал Den Hartigh J, Brandenburg HCR, Vermeij P.
Stability of azacitidine in lactated Ringer’s injection frozen in polypropylene syringes.
Am J Hosp Pharm 1989 ; 46: 2500-2505.
1039 Журнал Cheung YW, Vishnuvajjala BR, Morris NL, Flora KP.
Stability of azacitidine in infusion fluids.
Am J Hosp Pharm 1984 ; 41: 1156-1159.
3204 Журнал Duriez A, Vigneron J.H, Zenier H.A, May I, Demoré B.M.
Stability of Azacitidine Suspensions.
Ann Pharmacotherapy 2011 ;45, 4:546.
3236 Лаборатория Azacitidine (Vidaza®) - Résumé des caractéristiques du produit
Celgene 2011
3246 плакат Vieillard V, Appudurai O, Voytenko S, Astier A, Paul M.
Stabilité physico-chimique de la suspension d'azacitidine (25 mg/mL) conservée à 4°C.
SFPO Congress Mandelieu, France 2011
3351 Журнал Walker S.E, Charbonneau L.F, Law S, Earle C.
Stability of Azacitidine in Sterile Water for Injection.
Can J Hosp Pharm 2012 ; 65, 5: 352-359
3534 Журнал Legeron R, Xuereb F, Djabarouti S, Saux M.C, Breilh D.
Chemical stability of azacitidine suspensions for injection after cold-chain reconstitution of powder and storage
Am J Health-Syst Pharm 2013 ; 70:2137-2142
3816 плакат Balouzet C, Chanat C, Jobard M, Brandely-Piat ML, Chast F.
Stabilité des poches d'azacitidine pour injection intraveineuse (1- 4 et 2,4 mg/mL) conservées à 4°C.
SFPO Congress, Nantes, France 2015
3818 Журнал Balouzet C, Chanat C, Jobard M, Brandely-Piat M-L, Chast F.
Stability of 25 mg/mL 5-azacitidine suspension kept in fridge after freezing.
Pharmaceutical Technology in Hospital Pharmacy 2017 ;2, 1:11-16.
4227 плакат Tyono I, Law S, Charbonneau L.F, Walker S.E.
Stability of Azacitidine Solutions In Sterile Water for Injection.
Prof Practice Conference - Canadian Society of PH 2019
4628 Журнал Iudicello A, Genovese F, Strusi V, Dominici M, Ruozi B.
Development and Validation of a New Storage Procedure to Extend the In-Use Stability of Azacitidine in Pharmaceutical Formulations.
Pharmaceuticals 2021 ; 14, 943.
4697 Журнал Trambloy Q, Vigneron J, Clarot I, Blaise F, D’Huart E, Demoré B.
Physicochemical stability of azacitidine suspensions at 25 mg/mL in polypropylene syringes stored under different conditions of storage.
Pharmaceutical Technology in Hospital Pharmacy 2022 2022; 7(1): 20220003

  Mentions Légales