Laatste update :
18/03/2026
geneesmiddel tegen kanker   Azacitidine  
injecteerbaar geneesmiddel
Stabiliteit in oplossing Stabiliteit in mengsels Factoren die de stabiliteit beïnvloeden Verenigbaarheden Toedieningswijze Literatuur pdf
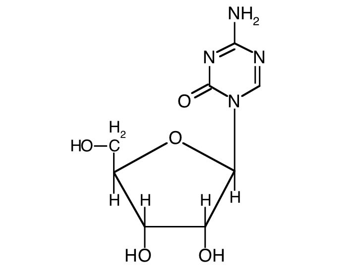
   Molecuulstructuur  

Merknamen in verschillende landen   Merknamen in verschillende landen     

Handelsnamen zijn slechts een indicatie; de samenstelling van hulpstoffen kan per land variëren afhankelijk van de fabrikant

Amilix Argentinië
Arquimes Argentinië
Azacimyl Chili
Azacitidina Argentinië, Chili, Peru
Azacitidine Duitsland, USA
Azacor Peru
Azadin Turkije
Azamex Argentinië
Azanova Argentinië
Azateva Argentinië
Azida Turkije
Azitech Argentinië
Citofin Argentinië
Iclacitidina Peru
Iterbil Argentinië
Maturus Argentinië
Mietozitidina Argentinië, Peru
Nimodac Argentinië
Remitiva Chili
Tazadir Argentinië
Vidaza Argentinië, Australië, België, Brazilië, Canada, Chili, Colombia, Duitsland, Finland, Frankrijk, Groot Britannië, Hongarije, IJsland, Italië, Japan, Kroatië, Luxemburg, Maleisië, Mexico, nieuw Zeeland, Noorwegen, Peru, Roemenië, Slovenië, Spanje, Tunisie, Turkije, USA, Zweden, Zwitserland
Zacidonel Mexico
Zylatadina Argentinië
Literatuur   injecteerbaar geneesmiddel   Literatuur : Azacitidine  
type publicatie
414 Artikel Den Hartigh J, Brandenburg HCR, Vermeij P.
Stability of azacitidine in lactated Ringer’s injection frozen in polypropylene syringes.
Am J Hosp Pharm 1989 ; 46: 2500-2505.
1039 Artikel Cheung YW, Vishnuvajjala BR, Morris NL, Flora KP.
Stability of azacitidine in infusion fluids.
Am J Hosp Pharm 1984 ; 41: 1156-1159.
3204 Artikel Duriez A, Vigneron J.H, Zenier H.A, May I, Demoré B.M.
Stability of Azacitidine Suspensions.
Ann Pharmacotherapy 2011 ;45, 4:546.
3236 fabrikant Azacitidine (Vidaza®) - Résumé des caractéristiques du produit
Celgene 2011
3246 Poster Vieillard V, Appudurai O, Voytenko S, Astier A, Paul M.
Stabilité physico-chimique de la suspension d'azacitidine (25 mg/mL) conservée à 4°C.
SFPO Congress Mandelieu, France 2011
3351 Artikel Walker S.E, Charbonneau L.F, Law S, Earle C.
Stability of Azacitidine in Sterile Water for Injection.
Can J Hosp Pharm 2012 ; 65, 5: 352-359
3534 Artikel Legeron R, Xuereb F, Djabarouti S, Saux M.C, Breilh D.
Chemical stability of azacitidine suspensions for injection after cold-chain reconstitution of powder and storage
Am J Health-Syst Pharm 2013 ; 70:2137-2142
3816 Poster Balouzet C, Chanat C, Jobard M, Brandely-Piat ML, Chast F.
Stabilité des poches d'azacitidine pour injection intraveineuse (1- 4 et 2,4 mg/mL) conservées à 4°C.
SFPO Congress, Nantes, France 2015
3818 Artikel Balouzet C, Chanat C, Jobard M, Brandely-Piat M-L, Chast F.
Stability of 25 mg/mL 5-azacitidine suspension kept in fridge after freezing.
Pharmaceutical Technology in Hospital Pharmacy 2017 ;2, 1:11-16.
4227 Poster Tyono I, Law S, Charbonneau L.F, Walker S.E.
Stability of Azacitidine Solutions In Sterile Water for Injection.
Prof Practice Conference - Canadian Society of PH 2019
4628 Artikel Iudicello A, Genovese F, Strusi V, Dominici M, Ruozi B.
Development and Validation of a New Storage Procedure to Extend the In-Use Stability of Azacitidine in Pharmaceutical Formulations.
Pharmaceuticals 2021 ; 14, 943.
4697 Artikel Trambloy Q, Vigneron J, Clarot I, Blaise F, D’Huart E, Demoré B.
Physicochemical stability of azacitidine suspensions at 25 mg/mL in polypropylene syringes stored under different conditions of storage.
Pharmaceutical Technology in Hospital Pharmacy 2022 2022; 7(1): 20220003

  Mentions Légales